1. 서 론
2. 수치해석모델 구축
2.1 열-수리-역학적 모델 구성
2.2 처분장 모델 조건
2.3 입력물성
3. Computer design 연구 방법론
3.1 목적함수 설정 및 대리모델 구축
3.2 민감도 분석
3.3 다목적 최적화
4. 결과 및 토의
4.1 대리 모델 정확도 검증
4.2 민감도 분석 결과
4.3 다목적 최적화 결과
5. 결 론
1. 서 론
원자력 발전의 부산물인 고준위 방사성 폐기물을 인간 생활권으로부터 영구적으로 격리하는 것은 전 세계적인 환경적, 공학적 현안이다(Kim et al., 2025a). 현재 가장 신뢰받는 대안은 지하 수백 미터 깊이의 안정한 지질층에 폐기물을 매립하는 심지층 처분 방식이다(Kim et al., 2019). 이 시스템의 핵심은 처분용기, 완충재, 뒤채움재 및 근계영역 암반으로 구성된 공학적방벽 시스템(Engineered Barrier System, EBS)이며, 그 중에서도 벤토나이트 완충재는 용기를 직접 둘러싸 보호하는 핵심적인 역할을 수행한다(Sellin and Leupin, 2013). 벤토나이트는 낮은 투수계수와 높은 팽윤 특성을 통해 지하수 유입을 차단하고, 용기 손상 시 방사성 핵종의 누출을 지연시키는 안전 기능을 담당한다. 완충재의 장기적 건전성은 열-수리-역학적(thermo-hydro-mechanical, THM) 복합 거동에 의해 결정된다. 완충재의 성능은 최고 온도(T), 포화 시간(H), 팽윤압(M) 등 상충하는 지표들로 평가되는데, 이들은 초기 건조밀도와 함수비, 광물 조성 등 다차원적인 설계 변수들과 복잡하고 비선형적인 관계를 맺고 있다(Kim et al., 2019). 예를 들어, 완충재의 열전도도를 높여 최고 온도를 낮추려는 설계는 포화 시간이나 팽윤 성능에 부정적인 영향을 미칠 수 있으며, 이러한 상충 관계(trade-off)는 처분장의 장기 안정성 확보를 위한 최적 설계안 도출을 어렵게 만든다(Kim et al., 2019). 기존 연구자들은 수치해석 모델을 통해 처분 시스템의 복합 거동을 분석해 왔으나, 정교한 유한요소 모델은 단일 해석에도 상당한 계산 비용과 시간이 소요되는 한계가 있다. 특히 수천 회 이상의 매개변수 탐색이 필수적인 민감도 분석이나 다목적 최적화 과정에 기존 수치해석 모델을 직접 적용하는 것은 현실적으로 불가능에 가깝다(Kim et al., 2018).
이러한 문제를 해결하기 위해 최근 공학 설계 분야에서는 수치해석 결과의 일부를 학습하여 복잡한 입출력 관계를 빠르고 정확하게 모사하는 대리 모델(surrogate model) 기법이 활발히 도입되고 있다(Forrester et al., 2008). 본 연구는 이러한 한계를 극복하기 위해 수치해석과 대리 모델을 결합한 통합 프레임워크를 정립하고, 이를 향상된 한국형 기준 처분시스템(Improved Korean Reference Disposal System, KRS+)(Lee et al., 2007)에 적용하고자 한다. 유한요소법 기반의 COMSOL Multiphysics를 활용하여 수치해석모델을 구축하였고 분석 대상으로는 국내외 후보 물질인 Bentonil-WRK, KJ-Ⅱ, MX80, FEBEX 4종을 선정하여 각 재료의 특성에 따른 THM 성능을 정량적으로 비교하였다.
2. 수치해석모델 구축
2.1 열-수리-역학적 모델 구성
열 모델의 경우 고체, 액체, 기체 세 가지 상으로 구성된 다공질 매질에 대해 전도, 대류를 계산하기 위해 아래 식 (1)과 같이 열 균형 방정식이 주어진다.
이때, 는 고체, 액체, 기체 세 가지 상에 대한 유효 비열, 는 유효 열전도도, 는 열 source/sink, 는 온도, 그리고 는 상변화의 비엔탈피를 나타낸다.
공학적방벽 물질의 수리 거동은 2상 유동(two-phase flow) 메커니즘을 토대로 모델링하였고(Kim et al., 2025b) 이를 위해 아래와 같은 질량 균형 방정식을 이용하여 물과 공기의 흐름을 나타냈다.
이때, 는 구성요소(즉, 물과 공기), 는 상태(즉, 액체와 기체)을 나타낸다. 또한 𝜙는 공극률, 는 상태에서의 포화도, 𝜌는 밀도를 나타낸다. 기체의 경우 건조한 공기와 증기로 이루어졌고, 액체의 경우 물로만 이루어졌다고 가정하였다. 또한, 흙 입자 자체는 변형이 없다고 가정하였다.
이때, 이류 흐름은 Darcy 법칙(식 (3))을 따르고 확산 흐름은 Fick 법칙(식 (4))을 따른다.
여기서, 는 투수계수, 는 상대투수계수, 는 밀도, 는 점도, 는 확산계수, 는 중력가속도를 나타낸다.
실제 처분시스템 완충재의 THM 성능 해석 및 평가를 위한 구성을 위하여 처분장 완충재물질에 대한 수분특성곡선 예측모델로 대부분의 연구에서 van Genuchten 모델을 이용된다(van Genuchten., 1980).
여기서, 𝛼는 공기 유입값의 역수, 는 흡입력, 은 공극크기 분포에 관한 매개변수로서 곡선의 형태와 관련이 있으며 1보다 큰 값을 갖는다. 은 1−(1/)으로 표시된다. 본 연구에서는 다양한 압축벤토나이트의 수분 보유 거동을 예측하기 위해 통합 van Genuchten 모델(Kim et al., 2026)을 사용하였다. 해당 모델은 기존의 고전적인 van Genuchten 모델을 기반으로 하지만, 재료나 건조밀도별로 매개변수를 새로 보정해야 하는 한계점을 극복할 수 있다. 이를 위하여 유효 수분 보유밀도(effective water retention density, EWRD)라는 개념을 도입하였다. EWRD는 벤토나이트의 수분 보유 특성을 지배하는 주요 물리적 요인들을 하나의 변수로 통합한 개념으로 이는 건조밀도, 몬모릴로나이트 함량, 그리고 비표면적을 통해 다짐, 광물 조성, 미세구조의 복합적인 영향을 모두 반영한다. EWRD는 아래 식 (6)과 같이 두 가지 주요 구성요소(유효 몬모릴로나이트 건조밀도, 비표면적 기반 정규화 함수)의 조합으로 정의된다. 본 연구에서는 van Genuchten 모델의 매개변수(α, n)에 대한 온도 의존성은 고려되지 않았으며, 이는 실제 고온 환경에서의 거동을 보다 정밀하게 반영하기 위해 향후 연구에서 추가적으로 고려될 필요가 있다.
• 유효 몬모릴로나이트 건조밀도(effective montmorillonite dry density, EMDD, ): 이는 벤토나이트-모래 혼합물 등에서 순수하게 수분 보유에 기여하는 몬모릴로나이트의 압축상태(다짐 정도)를 나타낸다.
이때, 은 몬모릴로나이트 함량, 은 벤토나이트 비율, 는 몬모릴로나이트를 제외한 구성 광물의 밀도, 는 모래의 밀도를 나타낸다.
• 비표면적(specific surface area, SSA) 기반 정규화 함수(): EMDD만으로는 미세구조 차이(예: Na형과 Ca형 벤토나이트 구조 차이)로 인한 흡착 특성을 설명하기 어렵다. 따라서, 미세구조와 흡착 특성을 반영하기 위해 비표면적을 활용한 정규화 함수가 도입된다.
EWRD를 활용하여 식 (5)의 변수 𝛼와 을 아래와 같이 정의할 수 있다.
Barcelona Basic model (BBM)은 Modified Cam Clay model (MCCM)을 불포화토에 대해 확장한 한계상태 기반 탄소성 구성모델로, Alonso et al. (1990)에 의해 제안되었다. BBM은 불포화지반의 역학적인 거동뿐만 아니라 습윤에 따른 팽윤과 흡입력에 따른 항복응력의 변화를 반영할 수 있다. 이러한 불포화거동을 나타내기 위해 BBM에서는 MCCM에 흡입력(s)을 독립변수로 추가하였는데 포화 상태(s = 0)의 경우 MCCM과 동일하다. 이후 BBM은 열적 영향(Gens, 1995)과 재압축지수의 흡입력 의존성 등을 포함하도록 확장되어 처분장 내 벤토나이트 완충재 거동의 해석에 적용되었다(Gens, 1995; Rutqvist et al., 2011; Lee et al., 2020b).
BBM에서 불포화 토질의 변형률 변화는 식 (11)과 같이 계산된다.
여기서, , , , 은 각각 탄성 변형률, 소성 변형률, 흡입력에 의한 변형률 그리고 열적 변형률을 나타낸다. BBM에서 체적 탄성 변형률()과 편차 탄성 변형률()은 식 (12), (13), (14), (15)에 의해 계산된다.
여기서, 와 는 물질 상수이고, 는 유효응력, 는 간극비이다.
흡입력 변화로 야기되는 체적 변형률은 유효응력과 유사하게 아래 식들에 의해 계산된다.
여기서, 는 기준압력, 은 대기압을 나타낸다.
2.2 처분장 모델 조건
KRS+의 현재 설계 개념을 기반으로 2D 축대칭 유한 요소 모델을 구축하였다. 수치 모델의 형상과 영역 크기는 Fig. 1(a)에 나타나 있다. 요소망(mesh) 생성 시, 총 16,567개의 요소를 생성하였으며, 이는 두 가지 유형의 메쉬로 구성된다. Fig. 1(b)와 같이, 주변 암반의 대부분은 삼각형 메쉬로 구성되어 있으며, 나머지 수치 모델 영역은 사각형 메쉬를 갖는다.
PWR형 사용후핵연료의 약 77%를 차지하는 R-SNF를 기준 폐기물로 정하였고, 사용후핵연료가 원자로에서 배출된 후 시간에 따라 1톤의 우라늄에서 방출되는 열(Q)가 식 (19)에 나타나있다(Lee et al., 2020c).
식 (19)의 는 사용후핵연료가 원자로에서 배출된 후 경과 시간이며, , , , , , , , 는 의 범위에 따라 달라지는 상수이다(Table 1). Lee et al. (2020c)은 KRS+ 기반 처분시스템의 처분터널 및 처분공의 간격을 정하기 위해 완충재의 최고 온도가 나타나는 처분 후 1,000년까지의 상수들을 제시하였으나, 본 연구에서는 단기간의 처분시스템 THM 복합거동 성능평가를 위해 처분 후 500년까지 거동을 살펴보았다. 본 연구에서는 1톤의 우라늄에서 방출되는 열을 처분용기 1개에 들어가는 4개의 PWR R-SNF에 포함되는 우라늄의 양으로 환산하여 계산에 이용하였다. Lee et al. (2020c)은 KRS+ 처분시스템 설계 시 PWR R-SNF를 45년간 소내 저장한 후 처분하도록 하였다. 최외곽 영역의 열 경계 조건과 방벽의 초기 온도는 약 30°C로 설정하였다. 본 연구에서 canister의 초기 온도는 식 (19)의 붕괴열 모델을 기반으로 설정하였다. KRS+ 처분 개념에 따라 약 45년 저장된 PWR 사용후핵연료의 초기 열 발생량을 고려하였으며, 이에 따른 보수적인 초기 조건으로 canister 온도를 127°C로 설정하였다. 이는 처분 초기 단계에서의 최대 열 영향을 반영하기 위한 것이다.
수리 경계 조건의 경우, 공극 수압은 지상을 대기압(0.1 MPa)으로 가정하고 100 m당 1 MPa이 증가하는 것으로 가정하여 계산하였다. 그리고 암반 최외곽 경계의 포화도는 99%로 설정하였다. 암반의 초기 조건은 최외곽 경계와 동일하게 설정하였으나, 완충재와 뒤채움재의 가스 압력은 대기압과 동일하다고 가정하여 0.1 MPa로 설정하였다.
Table 1.
Decay heat model parameters for KRS+ PWR R-SNF
2.3 입력물성
본 연구에 활용된 핵심 분석 대상인 4가지 벤토나이트(Bentonil-WRK, KJ-Ⅱ, MX80, FEBEX)에 대해서 광물조성, 열전도도(), 투수계수(), van Genucthen 모델 인자, BBM 인자 값을 아래 표에 나타내었다(Tables 2, 3, 4, 5, 6, 7, 8). Bentonil-WRK의 BBM 인자의 경우 같은 Ca형 벤토나이트인 FEBEX와 동일하다고 가정하였다.
Table 2.
Mineralogical composition of buffer materials (Kim et al., 2024a)
| Montmorillonite | Albite | Quartz | Cristobalite | Calcite | Heulandite | |
| KJ-II | 61.9 | 20.9 | 5.3 | 4.1 | 4.8 | 3 |
| Bentonil-WRK | 68.0 | 13.1 | 1.7 | 10.3 | - | - |
| MX-80 | 87 | 3 | 3 | 2 | - | - |
| FEBEX | 92 | - | 2 | - | - | - |
Table 3.
Comparison of thermal conductivity for compacted bentonite
| Predictive equation | References | |
| KJ-II | Yoon et al. (2021) | |
| Bentonil-WRK | Yoon et al. (2024) | |
| MX-80 | * | Kim et al. (2019) |
| FEBEX | Lloret and Villar (2007) |
Table 4.
Comparison of specific heat for compacted bentonite
| Predictive equation | References | |
| KJ-II | Yoon and Kim (2017) | |
| Bentonil-WRK | 0.826~1.138 | Yoon et al. (2024) |
| MX-80 | Börgesson and Hernelind (1999) | |
| FEBEX | Lee et al. (2020a) |
Table 5.
Comparison of permeability for compacted bentonite
| Predictive equation | References | |
| KJ-II | Park et al. (2021) | |
| Bentonil-WRK | Kim et al. (2024a) | |
| MX-80 | Villar (2005) | |
| FEBEX | ( below) ( above) | Lloret and Villar (2007) |
Table 6.
Parameters of the integrated van Genuchten model for different bentonites (Kim et al., 2026)
| a | b | A | B | C | D | |
| KJ-Ⅱ | 0.003 | 41.111 | 116.1762 | 5.5490 | 0.5677 | 0.6762 |
| Bentonil-WRK | 18.8570 | 5.0158 | 0.8511 | 0.5838 | ||
| MX-80 | 109.3565 | 5.8864 | 1.5825 | -0.4007 | ||
| FEBEX | 77168.6 | 9.2015 | 2.8676 | -3.0684 |
Table 7.
Comparison of BBM (Barcelona Basic Model) parameters for buffer materials
| 𝛽 (kPa-1) | (MPa) | (MPa) | References | |||||||
| KJ-Ⅱ | 0.266 | - | - | 0.048 | - | 0.233 | -0.144 | 3.78 | - | Kim et al. (2022) |
| MX-80 | 0.15 | 0.02 | 0.8 | 0.05 | -0.003 | 0.30 | -0.147 | 14 | 0.1 | Abed et al. (2016) |
| FEBEX | 0.15 | 0.1 | 0.925 | 0.05 | -0.003 | 0.25 | -0.161 | 12 | 0.5 | Villar and Gomez-Espina (2009) |
이와 더불어 공학적방벽시스템의 다른 구성요소인 처분용기, 뒤채움재 및 근계영역 암반에 적용된 물성 값도 Table 8과 같이 정리하였다.
Table 8.
Model input properties for canister, backfill, and near-field rock
| Properties | Value | Units | References | |
| Canister | Thermal conductivity | 49.02 | W/m·K | Kim et al. (2019) |
| Heat capacity | 132.82 | J/(kg·K) | ||
| Density | 6,580 | kg/m3 | ||
| Backfill | Thermal conductivity | 0.00248·S + 0.1138 | W/m·K | Kim et al. (2024b) |
| Heat capacity | 960 | J/(kg·K) | ||
| Permeability | 1.0 × 10-19 | m2 | ||
| Relative permeability | 3.00 | - | ||
| van Genuchten parameter 𝛼 | 3.3 × 10-7 | 1/Pa | ||
| van Genuchten parameter | 2 | - | ||
| Initial saturation | 67 | % | ||
| Near-field rock | Thermal conductivity | 3.3S × 2.61-S | W/m·K | Cho et al. (2008) |
| Heat capacity | 966 | J/(kg·K) | ||
| Permeability | 1.0 × 10-19 | m2 | ||
| Relative permeability | 3.00 | - | ||
| van Genuchten parameter 𝛼 | 5.747 × 10-7 | 1/Pa | ||
| van Genuchten parameter | 2.5 | - | ||
| Initial saturation | 95 | % |
3. Computer design 연구 방법론
처분장이 장기적으로 안정화될 수 있는 방벽 시스템의 초기 조건을 도출하기 위해 최적화 기법을 적용하였다. 최적화란, 다양한 유형의 목적 함수와 영역을 포함하여 주어진 영역 또는 입력값 내에서 목적 함수의 “사용 가능한 최상의” 값을 찾는 것이다. 처분장의 THM 복합 거동은 복잡하고 비선형적이며, 정확한 수치해석 모델을 수립하더라도, 복잡하게 상호 연관된 처분장 환경에서는 최적의 초기 건조밀도와 초기 함수비를 쉽게 결정할 수 없다. 따라서 최적화 기법과 방벽 시스템의 THM 특성을 포함하는 모델 연구를 활용하여, 처분장이 안정적일 수 있는 최적의 초기 조건을 제시할 필요가 있다.
3.1 목적함수 설정 및 대리모델 구축
고온 환경에서 주성분인 스멕타이트(smectite)는 일라이트(illite)와 같이 더 안정한 규산염 상(silicate phases)으로 변성될 수 있다. 일라이트화(illitization) 및 교결작용(cementation)과 같은 화학적 변질은 소성과 팽윤 능력을 감소시켜 방벽 성능에 부정적인 영향을 미친다. 따라서 대부분의 고준위폐기물 처분시스템 개념은 벤토나이트 완충재의 최고 온도 기준을 설정하여 이러한 변화를 차단하도록 설계된다. 또한, 완충재는 주변 암반에서 유입되는 물로 인한 처분용기의 부식을 방지해야 하며, 궁극적으로는 손상된 처분용기로부터의 잠재적인 방사성 핵종 누출을 막아야 한다(Raiko et al., 2010a; Karnland, 2010b). 따라서 완충재의 중요한 안전 기능 중 하나는 암반에서 처분용기로의 물 흐름을 가능한 한 제한하는 것이다. 완충재 벤토나이트 내부에 존재하는 미생물은 가스 발생 및 부식을 활성화 시킬수 있어 처분장 시스템에 부정적인 영향을 줄 수 있다. 이러한 미생물이 벤토나이트 내부에서 생존하는 것을 막기에 충분한 팽윤압을 가져야 하는데 미생물 활동 평가에 따르면, 이는 2 MPa를 초과하는 팽윤압에서 달성된다(Raiko et al., 2010a). 이러한 다양한 요구 조건을 고려하기 위해 본 연구에서는 다목적 최적화를 적용하였다. 최적화의 목적 함수는 완충재 최고 온도(T), 처분용기 인근의 포화 시간(H), 그리고 팽윤압이 2 MPa에 도달하는 시간(M)으로 설정하였다. 설계 변수는 완충재의 초기 건조밀도(γd)와 함수비(ω)이며, 건조밀도는 1.20–1.76 g/cm3, 함수비는 0.05–0.37 범위로 설정하였다.
THM 수치해석은 단일 해석에도 상당한 시간이 소요되므로, 수천 회 이상의 반복 계산이 필요한 민감도 분석 및 최적화에 직접 활용하기에는 계산 비용의 한계가 있다. 이러한 한계를 극복하기 위해, 원본 모델의 입력 데이터(건조밀도, 함수비)와 출력 데이터(T, H, M)를 학습하여 근사 모델을 구축하는 대리 모델(혹은 메타모델) 기법을 적용하였다(Forrester et al., 2008). 대리 모델은 적은 수의 시뮬레이션 샘플을 기반으로 원본 모델의 입출력 관계를 빠르고 정확하게 모사하는 수학적 근사 모델이다.
본 연구에서는 4가지 벤토나이트 각각에 대해 독립적인 대리 모델을 구축하였다. 적은 수의 샘플 포인트로 비선형 함수를 보간하는데 특화된 통계 기법인 크리깅(Kriging), 즉 가우시안 프로세스 회귀(Gaussian Process Regressor, GPR)를 대리 모델로 선정하였다. GPR은 예측값과 더불어 예측의 불확실성을 제공하며, 본 연구와 같이 계산 비용이 높은 시뮬레이션 기반 데이터 분석에 널리 활용된다. 모델의 성능을 최적화하기 위해 모든 입력 변수(건조밀도, 함수비)는 StandardScaler를 사용하여 정규화하였고, 커널은 표준적인 RBF 커널을 적용하였다.
본 연구에서는 예측 대상의 특성에 따라 두 가지 유형의 모델을 구축하였다. 첫째, 회귀 모델(Regression model)의 경우 T, H, M과 같이 연속적인 숫자 값을 예측하기 위해 Gaussian Process Regressor를 사용하였다. 특히 M 값의 경우, 분포의 편향성을 보정하기 위해 로그 변환을 적용한 후 모델을 학습시켰다. 둘째, 분류 모델(Classification model)의 경우, M의 역학적 기준 미달을 의미하는 ‘Not good’ (500년간 2 MPa 미도달) 여부(0: Good, 1: Not good)를 판별하기 위해 Gradient Boosting Classifier를 사용하였다. 단, MX80과 KJ-Ⅱ는 원본 데이터셋에서 ‘Not good’ 샘플이 1개 또는 0개로 극히 적어, 이들 재료는 ‘매우 안정적’으로 평가되어 분류 모델링에서는 제외하였다.
3.2 민감도 분석
민감도 분석은 모델의 출력 값(혹은 불확실성)이 어떤 입력 매개변수의 변화에 의해 가장 큰 영향을 받는지를 정량적으로 평가하는 기법이다(Saltelli et al., 2008). 본 연구에서는 구축된 대리 모델을 사용하여 입력 변수인 건조밀도와 함수비가 각 출력 목표(T, H, M)에 미치는 영향을 정량적으로 분석하였다.
첫째, T, H 및 ‘Good’ 상태의 M 값에 대해서는 분산 기반의 Sobol' 전역 민감도 분석을 수행하였다(Sobol, 1993). 전역 민감도 분석은 입력 매개변수의 전체 범위에 걸쳐 비선형적 거동이나 변수 간 상호작용 효과까지 고려할 수 있다는 장점이 있다. 입력 변수의 Sobol' 시퀀스를 생성하고, 이를 대리 모델에 입력하여 얻은 예측 결과를 분석하였다. 이 분석을 통해 도출한 지수 중 하나인. 1차 민감도 지수(S1)는 각 입력 변수가 단독으로 출력 변수의 분산에 기여하는 정도를 나타내며, 총 민감도 지수(ST)는 해당 변수의 단독 영향과 다른 변수와의 상호작용(interaction)을 모두 포함한 총 영향력을 나타낸다.
이때, 는 총 출력 분산, 는 입력변수 의 주 효과로 인한 분산이다.
둘째, 역학적 안전성 기준 미달 조건인 ‘Not good’ 상태에 대해서는 두 가지 방식으로 분석하였다. 본 연구에서는 M (팽윤압)이 500년의 해석 기간 동안 2 MPa에 도달하지 않으면 ‘Not good’ (실패)으로 판단하였다. 변수 중요도 분석은 Gradient Boosting Classifier 모델이 ‘Good’과 ‘Not good’을 분류할 때 학습된 특성 중요도를 추출하여, 건조밀도와 함수비 중 ‘Not good’ 상태를 결정하는 데 더 큰 영향을 미치는 변수를 식별하였다. 발생 규칙 탐색 방법으로는 모델의 해석이 용이한 의사결정나무(Decision Tree) 모델(최대 깊이 = 3)을 추가로 학습시켰다(Breiman et al., 1984). 이를 통해, ‘Not good’이 발생하는 건조밀도와 함수비의 구체적인 임계 조건(예: ω > 0.54 and γd < 1.48 g/cm3)을 도출하여 공학적 설계에 직접 활용할 수 있는 직관적인 규칙을 제시하였다.
3.3 다목적 최적화
처분장 성능은 T, H, M과 같이 서로 상충될 수 있는(trade-off) 여러 목적을 동시에 고려해야 한다. 이러한 다목적 최적화 문제에서는 모든 목적을 동시에 만족하는 단일 해가 존재하지 않는 경우가 일반적이며, 대신 한 목적을 개선하면 다른 목적이 희생되는 해들의 집합인 파레토 전선을 도출하는 것을 목표로 한다(Deb, 2011). 민감도 분석을 통해 파악된 변수들의 영향을 바탕으로, 처분장 성능 목표를 동시에 만족시키는 최적의 건조밀도와 함수비 조합을 탐색하기 위해 다목적 최적화를 수행하였다. 최적화 알고리즘으로는 유전 알고리즘(Genetic Algorithm) 기반의 대표적인 MOO 알고리즘인 NSGA-II (Non-dominated Sorting Genetic Algorithm II)를 사용하였다(Deb, 2011). NSGA-II는 파레토 지배 관계에 따라 해들을 정렬하는 ‘비지배 정렬(Non-dominated Sorting)’과 해의 다양성을 유지하기 위한 ‘밀집도 거리(Crowding Distance)’ 계산을 통해, 광범위한 탐색 공간에서 효율적으로 최적해 집합을 찾아내는 장점이 있다. 본 연구의 목적 함수 F(x)는 식 (21)과 같이 완충재 최고 온도(T)의 최소화, 완충재 포화 시간(H)의 최대화, 그리고 팽윤압이 2 MPa에 도달하는 시간(M)의 최소화로 설정하였다.
이때, 는 입력변수 벡터이며 , , 은 각 목적 함수를 예측하는 대리 모델이다.
또한 최적화 과정에서 시스템이 실패하는 ‘Not good’ 해를 배제하기 위해 ‘Not good’ 발생 확률이 50%를 초과하는 건조밀도–함수비 조합은 패널티를 부여하여 최적해 집합에서 제외하였다. NSGA-II 결과로 도출된 파레토 전선은 다수의 최적해로 구성되기 때문에, 의사결정자가 하나의 설계를 선택하기 어렵다. 이를 해결하기 위해 도출된 해들을 사후 처리하여 해석할 필요가 있다.
본 연구에서는 대표적인 비지도 학습 방법인 K-Means Clustering을 이용해 파레토 전선을 3개의 그룹으로 군집화하였다(MacQueen, 1967). 클러스터링은 건조밀도와 함수비의 입력 공간이 아닌 T, H, M의 목적 함수 공간을 기준으로 수행하였다. 또한 각 목적 함수의 단위와 범위 차이를 고려하여 Min–Max 정규화를 적용해 모든 값을 0–1 범위로 스케일링 하였다. 이를 통해 “T (온도) 최적화 그룹”, “H (포화 시간) 최적화 그룹”, “M (팽윤 시간) 최적화 또는 균형 그룹”과 같은 성능 특성을 가진 해 집합을 식별하고, 각 전략에 해당하는 평균적인 건조밀도와 함수비 조건을 제시하였다.
4. 결과 및 토의
4.1 대리 모델 정확도 검증
구축된 대리 모델의 신뢰성을 확보하는 것은 후속 분석(민감도 분석, 최적화)의 타당성을 보장하기 위한 필수적인 과정이다. 이에, 각 벤토나이트의 전체 데이터를 8:2 비율로 학습 데이터와 테스트 데이터로 분리하여 모델의 일반화 성능을 검증하였다. 모델은 학습 데이터로만 구축되었으며, 테스트 데이터를 얼마나 정확하게 예측하는지 평가하였다. 회귀 모델(T, H, M)의 평가지표로는 결정 계수를 사용하였고 분류 모델(M_status)의 평가지표로는 ‘Not good’ 클래스를 탐지하는 능력을 평가하기 위해 F1-Score를 사용하였다.
Fig. 2와 같이 검증 결과, 4가지 벤토나이트의 모든 대리 모델(T, H, M)이 0.74에서 0.99에 이르는 높은 R2 값을 기록하였다. WRK와 FEBEX의 M_status 분류 모델 역시 0.85 이상의 F1-Score를 보여, ‘Not good’ 상태를 높은 신뢰도로 판별하는 것으로 확인되었다. 따라서 본 연구에서 사용된 모든 대리 모델은 4가지 벤토나이트의 THM 거동을 통계적으로 신뢰할 수 있게 모사하고 있음을 검증하였다. 본 검증 결과는 대리 모델이 수치해석 결과를 높은 정확도로 재현함을 보여주며, 제안된 모델이 다양한 설계 조건에서 신뢰성 있게 활용될 수 있음을 의미한다. 다만, 향후 연구에서는 보다 다양한 조건 및 실험 데이터와의 비교를 통해 모델의 적용 범위를 확장할 필요가 있다.
4.2 민감도 분석 결과
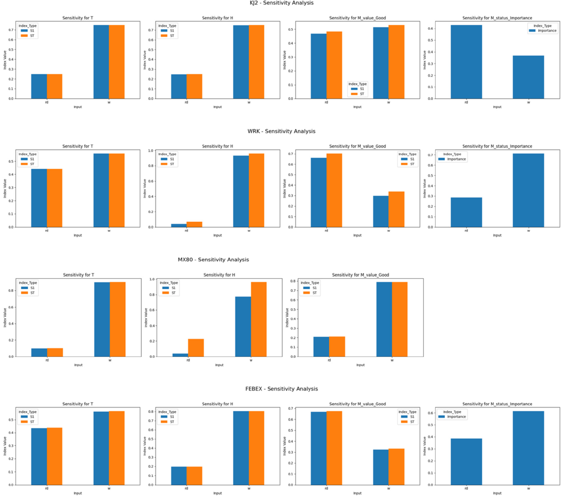
각 벤토나이트의 건조밀도(γd)와 함수비(ω)가 T, H, M 및 M_status (‘Not good’)에 미치는 영향을 Sobol' 지수와 특성 중요도를 통해 분석하였다(Fig. 3).
완충재 최고 온도(T)에 대한 민감도는 재료별로 상이했다. KJ-Ⅱ와 MX80의 경우, 함수비(S1: 0.80, 0.73)가 온도에 큰 영향을 미쳤다. 반면 WRK와 FEBEX는 건조밀도와 함수비가 비교적 대등한 영향력(S1: 0.4~0.6)을 보였다. 완충재 포화 시간(H)의 경우, Bentonil-WRK를 제외한 모든 벤토나이트(KJ-Ⅱ, MX80, FEBEX)에서 건조밀도(S1: 0.95, 0.77, 0.90)가 함수비(S1: 0.04, 0.19, 0.09)보다 지배적인 영향을 미치는 것으로 나타났다.
팽윤압 2 MPa 도달 시간(M)은 안정성과 성능으로 나누어 분석하였다. M_status (안정성) 분석 결과, KJ-Ⅱ와 MX80은 ‘Not good’ 샘플이 없어 ‘매우 안정적’으로 분류되었다. 반면, Bentonil-WRK는 ‘포화도 0.54 초과 및 건조밀도 1.48 g/cm3 이하’에서, FEBEX는 ‘함수비 0.53 초과 및 건조밀도 1.39 g/cm3 이하’에서 ‘Not good’이 발생하는 것으로 나타났다. 즉, 두 재료 모두 건조밀도가 낮고 포화도가 높은 조건에서 역학적 안정성 기준을 만족시키지 못하는 취약점을 보였다. 다만, 일반적인 처분장 완충재 설계에서는 초기 벤토나이트 블록의 건조밀도를 1.60 g/cm3 이상으로 유지하므로, 실제 공학적 적용 조건에서는 이러한 불안정 영역에 해당하지 않을 것으로 판단된다. ‘Good’ 상태에서의 M_value (팽윤압 도달 시간)는 MX80과 FEBEX에서 건조밀도(S1: 0.88, 0.86)가 절대적으로 지배적인 영향을 미쳤다. Bentonil-WRK 역시 건조밀도(S1: 0.58)가 주된 영향 인자였다. 이와 달리 KJ-Ⅱ는 건조밀도와 함수비의 1차 민감도 지수(S1)는 낮으나 총 민감도 지수(ST)는 높게 나타나(γd ST: 0.80, S ST: 0.71), 두 변수의 복잡한 상호작용이 M_value에 영향을 미치는 것으로 분석되었다.
4.3 다목적 최적화 결과
최적의 건조밀도–함수비 조합(파레토 전선)을 NSGA-II 알고리즘을 이용해 도출하였고, 도출된 최적해는 K-Means Clustering을 통해 3개의 그룹으로 군집화하여 성능 특성을 분석하였다(Fig. 4).
MX80은 세 가지 목적에서 가장 우수한 성능을 보였다. 특히, Cluster 2는 T (평균 76.4°C)와 M (평균 21.1년)을 가장 낮게 달성하는 ‘T-M 최적 그룹’으로 나타났으며, Cluster 1은 H (평균 372.3년)를 높이는 ‘H 최적 그룹’으로 높은 안정성을 보였다. KJ-Ⅱ는 가장 유연한 성능을 제공하였다. Cluster 1은 T (평균 80.5°C)와 H (평균 488.3년)를 동시에 최적화하는 ‘T-H 최적 그룹’, Cluster 0은 H (평균 484.4년)와 M (평균 24.2년)을 동시에 최적화하는 ‘H-M 최적 그룹’으로 나타났다. M 성능은 MX80과 유사한 수준이었으며, H 성능은 우수하였다. Bentonil-WRK는 T와 M 간의 시너지를 보였으나(T = 89.0°C, M = 68.9년), MX80과 KJ-Ⅱ에 비해 성능이 낮았고 ‘Not good’이 발생하는 불안정 구간을 회피해야 하는 설계 제약이 존재하였다. FEBEX는 T를 낮추려 할 때 M 값이 크게 증가하는 상충관계를 보였으며(T = 88.6°C, M = 1,873.8년), WRK와 마찬가지로 ‘Not good’ 발생 구간을 피해야 하는 조건부 안정 특성을 나타냈다.
종합적으로 MX80과 KJ-Ⅱ가 성능과 안정성 측면에서 우수한 재료로 나타났다. MX80은 온도와 팽윤압 도달 시간을 최소화하는 데 가장 효과적이었으며, KJ-Ⅱ는 높은 포화 시간과 다양한 목적 조합을 제공하는 가장 유연한 설계 옵션이었다. Bentonil-WRK와 FEBEX 벤토나이트는 조건부 안정성을 보여 설계 시 불안정 영역을 회피해야 하는 제약이 존재하였지만 일반적인 완충재 설계조건에서는 좋은 성능을 보인 것으로 나타났다.
한편, 본 연구에서는 NSGA-II 알고리즘을 사용하여 다목적 최적화를 수행하였다. 일반적으로 surrogate model 기반의 연속적이고 비교적 매끄러운 응답 특성을 가지는 문제에서는 NSGA-II, MOEA/D, SPEA2와 같은 대표적인 진화 알고리즘 간에 파레토 전선의 전체적인 형상과 경향은 크게 차이가 나지 않는 것으로 알려져 있다. 특히 본 연구와 같이 입력 변수의 차원이 낮고, 대리 모델이 안정적으로 학습된 경우 최적해 공간이 비교적 명확하게 형성되므로, 알고리즘에 따른 개별 해의 위치 차이는 일부 존재할 수 있으나 주요 설계 변수 범위 및 최적해의 분포 경향에는 큰 차이가 없을 것으로 판단된다.
5. 결 론
본 연구는 고준위 방사성 폐기물 처분 시스템의 핵심 구성 요소인 벤토나이트 완충재의 중 4종(Bentonil-WRK, KJ-Ⅱ, MX80, FEBEX)의 THM 성능을 평가하고 최적화하기 위한 기계학습 기반 방법론을 개발하였다. 수치해석 모델의 높은 계산 비용 문제를 해결하기 위해 데이터 이상치 정제 후 크리깅 기반의 Gaussian Process Regression 대리 모델을 구축하였으며, 높은 예측 정확도(R2 = 0.74–0.99)를 확보하였다.
구축된 대리 모델을 활용하여 Sobol' 민감도 분석과 의사결정나무 분석을 수행한 결과, 완충재 성능은 주로 초기 건조밀도와 함수비에 의해 지배되며, 그 영향 패턴은 벤토나이트 종류와 성능 지표(T, H, M)에 따라 달라짐을 확인하였다. 또한 NSGA-II 기반 다목적 최적화와 K-Means Clustering을 통해 T 최소화, H 최대화, M 최소화를 동시에 고려한 파레토 최적해 집합을 도출하였다.
분석 결과, MX80과 KJ-Ⅱ가 역학적 안정성과 성능 지표 측면에서 우수한 최적해를 제공하였다. MX80은 T와 M 최소화에 효과적이었으며, KJ-Ⅱ는 T-H 또는 H-M을 동시에 최적화하는 데 유연한 특성을 보였다. Bentonil-WRK와 FEBEX 벤토나이트는 조건부 안정성을 보여 설계 시 불안정 영역을 회피해야 하는 제약이 존재하였지만 일반적인 설계조건에서는 좋은 성능을 보인 것으로 나타났다. 그러나 본 연구의 주요 의의는 특정 벤토나이트의 성능 비교 자체보다는, 데이터 정제, 대리 모델 구축, 민감도 분석, 다목적 최적화 및 클러스터링을 포함한 기계학습 기반 분석 프레임워크를 정립하고 적용한 데 있다.
한편, 본 연구는 몇 가지 한계를 가진다. 수치해석 모델은 여러 가정에 기반하고 있으며, 메쉬 구성 및 해석 조건에 대한 정량적인 민감도 분석이 포함되지 않았다. 또한 Bentonil-WRK의 경우 팽윤압 관련 인자를 FEBEX와 동일하게 가정하였기 때문에 실제 거동과 차이가 있을 수 있다. 본 연구는 완충재 조건에 초점을 맞추었으므로, 뒤채움재, 처분용기, 암반 특성 등 다른 공학적 방벽 조건이 달라질 경우 결과가 달라질 가능성이 있다. 또한 제안된 대리모델은 특정 입력 범위 내에서 학습된 결과이므로, 해당 범위를 벗어나는 조건에 대해서는 예측 정확도가 저하될 수 있다. 따라서 본 연구에서 제시된 설계 인자 범위는 절대적인 기준이라기보다, 향후 실험 검증 및 추가 해석을 위한 기초 자료로 활용될 필요가 있다. 향후 연구에서는 다양한 처분 환경 조건을 고려한 해석, 재료 물성의 불확실성을 반영한 확률론적 접근, 그리고 실험 데이터와의 연계를 통한 모델 검증을 수행할 예정이다. 또한 완충재뿐만 아니라 뒤채움재 및 암반을 포함한 통합 EBS 시스템으로 확장하여 보다 현실적인 설계 최적화를 수행할 계획이다.






