1. 서론
2. 조적식 터널의 현황
2.1 조적식 터널의 현황
2.2 조적식 터널의 현장조사
3. 조적식 라이닝의 모델링
3.1 조적식 라이닝의 분산형 등가모형
3.2 조적식 라이닝의 균열모델
4. 라이닝의 내진성능평가
4.1 라이닝의 내진성능평가기법
4.2 예제터널 해석
4.3 라이닝형식에 따른 영향검토
4.4 지반의 강성변화에 의한 영향검토
4.5 토피고 변화에 따른 영향검토
5. 보강공법 선정을 위한 해석
6.결론
1.서론
우리나라는 일반적으로 지진에 대한 안전지대로 인식되어서 지진에 대한 연구나 구조물의 내진성능을 확보하기 위한 연구가 부족하였으나, 최근 지진발생 빈도가 증가하면서 이에 대한 관심이 고조되고 있다. 다행히 한반도에 큰 지진이 발생하지 않아서 구조물이 지진에 의한 손상을 입은 경우가 별로 없었지만, 중진이상의 지진이 발생한다면 그 피해는 매우 광범위하게 발생할 가능성이 크며 이로 인한 국가의 경제, 사회에 미치는 손실은 막대할 것으로 예상된다.
국내에서 조적식라이닝을 이용한 철도터널은 1900년대 초부터 건설되어 현재 38개소의 터널이 사용중에 있다. 조적식라이닝은 노후화 되거나 내진설계가 적용되지 않아서 내진 성능을 파악하고 이를 향상시키기 위한 연구가 시급히 시행되어야 할 필요성이 있다. 조적식라이닝의 내진성능 평가 및 보수보강을 위해 자료검토, 경북 ○○의 폐터널에 대한 현장조사 등을 통하여 조적식라이닝의 상태를 파악하고 이를 바탕으로 각종 시험 결과 및 모르터를 고려한 조적식라이닝의 등가 물성치를 구하여 유한요소해석법을 이용하여 성능평가를 할 수 있는 기본안을 제시하는 것이 본 연구의 주요 목적이다.
2.조적식 터널의 현황
2.1 조적식 터널의 현황
국내조적식 터널은 38개소로 단선, 말굽형의 재래식개념에 의한 터널로 라이닝은 콘크리트, 적벽돌, 석재블럭 또는 석축으로 구성되어 있으며, 라이닝의 형식 및 연장을 고려한 주요 터널의 현황은 표 1 및 사진 1과 같다 (부산지방철도청, 1999).
2.2 조적식 터널의 현장조사
운행중인 조적식 터널에 대한 상태조사는 안전사고 및 작업시간의 제약 등이 있어 경북 ○○에 있는 폐터널에서 현장조사를 수행하였다. 터널의 규모는 사진 2와 같이 터널 폭 (내공기준)이 4m, 높이 H=5m, 연장 L= 90m이며, 조적식 라이닝중 가장 일반적인 형식인 측벽은 화강석돌쌓기 (석재블럭)로 천정부는 적벽돌로 구성되어 있다.
○○터널에 대한 현장조사로 외관조사, 배면공동조사를 위한 내시경탐사, 슈미터햄머를 이용한 반발강도측정 및 코어채취를 실시하였으며, 실내시험은 모르터에 대해서는 부착강도시험, 브라질리안 테스트, 일축압축시험을 적벽돌은 일축압축시험을 실시하여 내진해석에 필요한 물성치를 얻고자 하였다. 내시경 조사 및 천공홀을 통한 육안관찰결과 라이닝배면은 사진 3과 같이 약 10cm두께의 공동이 형성되어 있으며, 공동은 쇄석이나 잡석으로 채워져 있었다. 각종시험 및 문헌조사를 통한 조적식 라이닝의 물성치는 표 2에서부터 표 4까지와 같다.
|
| |
사진 2. ○○ 폐터널 전경 및 라이닝 상태 | ||
| ||
사진 3. 적벽돌라이닝 상태 및 배열 | ||
���� 적벽돌의 제원 L×w×h = 22.5×5.5×10.5 cm ���� 라이링 배열: 5열배열 ���� 수직줄눈 | ||
3.조적식 라이닝의 모델링
조적식 라이닝은 석재 또는 적벽돌 블럭과 모르터의 합성부재이다. 이런 구조물은 블럭과 모르터의 탄성계수의 차이가 커서 두 구성체의 접합지점에서 응력집중 및 변형 등이 발생하여 이 지점의 거동특성이 전체구조물의 안정성을 지배한다. 따라서 해석의 목적에 따라서 합리적인 블럭과 모르터의 모델링기법을 선정하여야 한다. 라이닝의 모델링은 모르터와 블럭의 개별모형화와 이를 함께 고려한 등가모형으로 나눌 수 있으며 개별모형화는 세밀한 유한요소망을 구성할 수 있으나 시간 및 노력이 많이 소요된다. 본 연구에서는 블럭과 모르터의 등가의 물성을 이용하는 분산형 모형중 변형율에너지법을 적용하였다. 이 방법은 대표체적내 등가의 물성을 가진 가상의 재료에 대해 변형률에너지는 같은 체적내 블럭과 모르터의 각각의 변형률에너지의 합과 같다고 함으로써 등가물성을 계산하는 방법이며, 비교적 적은 요소만으로 원하는 정밀도를 얻을 수 있다는 장점이 있다. 또한 등가의 물성치를 이용한 해석결과는 다시 블럭과 모르터에 작용하는 성분으로 분해하여 각각의 안정성을 검토하여야 한다.
3.1 조적식 라이닝의 분산형 등가모형
다층 조적식 라이닝의 물성을 구하기 위하여 그림 1과 같이 벽돌, 수평줄눈 (
), 수직줄눈 (
), 배면수직줄눈 (
)을 구분하여 모형화 하였다. 조적식 구조물 전체에 대한 응력/변형률 관계식은 다음 식 (1) 및 (2)와 같이 표현된다.
(1)
(2)
그림 1과 같이 수직줄눈 (
)을 포함한 조적식 라이닝 시편을 도입한 후, 줄눈과 벽돌은 서로 견고히 부착되어 있다고 가정하고 복합체의 변형률 에너지와 각 구성체의 변형률 에너지의 합은 식 (3)과 같다고 하면
(3)
이 된다. 여기서,

(4)
여기서, 아래첨자 i는 각 구성체로서 i=1인 경우 벽돌, i=2인 경우 줄눈을 의미한다. 위와 같이 블럭 및 수직줄눈으로 구성된 복합체의 등가물성을 유도할 수 있고 이런과정을 수평줄눈, 배면수직줄눈에 관해 연속적으로 고려하여 최종적인 조적식 라이닝의 물성을 구할 수 있다. 표 5는 위의 관계를 이용하여 산정한 적벽돌과 석재블럭라이닝의 비등방등가물성치이다.
구분 |
|
|
|
|
|
|
|
|
|
적벽돌 | 190,248 | 188,114 | 186,613 | 73,219 | 71,929 | 72,733 | 0.21 | 0.21 | 0.21 |
석재블럭 | 301,000 | 293,000 | 288,000 | 107,700 | 103,700 | 106,200 | 0.20 | 0.20 | 0.20 |
3.2 조적식 라이닝의 균열모델
조적식 라이닝에 대한 균열모델은 Mohr-Coulomb 항복함수를 이용하였다. 우선, 식 (5)와 같이 항복함수를 정의하기 위하여 응력 불변량 (stress invariant)을 도입하면,
(5)
와 같다. 여기서,
는 각각 축차
응력 (deviatoric stress), Kronecker delta, first stress invariant, second 및 third deviatoric stress invariant를 의미한다. 시험결과 모르터 및 블럭에 대한 일축압축강도와 인장강도를 얻을 수 있고, 식 (6)에서부터 식 (10)까지 그림 2와 같이 전단에 의한 항복함수의 변수들을 정의할 수 있다. 즉,
(6)

(7)
또는
(8)
와 같이 쓸 수도 있다. 여기서,

(9)
(10)
한편, 취성재료인 조적식라이닝의 인장거동을 고려하여 각 구성체에 대하여 다음 식 (11) 및 식 (12)와 같이 인장 항복함수를 정의할 수 있다.
(11)
혹은 식 (8)과 유사하게
(12)
로 된다. 여기서,
(13)
이며 그림 2에 식 (8)과 식 (12)의 항복함수를 그림 2와 같이 도시하였으며, transition point는 전단균열과 인장균열의 경계점이다.
터널의 해석시 라이닝을 블럭과 모르터를 고려한 등가 물성치를 적용하여야 하며, 해석결과는 등가의 라이닝에 작용하는 응력을 다시 식 (1),(2),(3),(4)의 응력/변형률조건을 이용하여 블럭과 모르터에 작용하는 응력으로 분해하여 각각의 균열발생여부를 판단하여야 한다. 균열발생 기준은 각 구성체에 대한 Mohr-Coulomb 항복함수를 이용하였다. 이때 내진해석은 그림 2 (a)와 같이 균열이 발생하는 시점을 확인하기 위해 지진하중을 점차로 증가시켜가면서 작용시켜 최종적으로 설계하중 (P3)의 100%가 되도록 하였다. 조적식 라이닝에서 균열의 발생이 바로 라이닝의 붕괴를 유발하지는 않는다. 그림 2 (a)에서와 같이 각 구성체의 발생응력과 항복함수가 만나는 지점인 P1 지점에서 첫번째열의 내측연단에서 균열이 발생하기 시작하며, 응력 P1의 2배가 되는 지점에서 첫번째열의 끝까지 균열이 진행하여 두번째열에서 균열이 발생하기 시작한다. 이때 최외측 블럭은 탈락이 발생하게 된다. 따라서, 이때의 응력수준을 붕괴하중으로 가정하였다.
4.라이닝의 내진성능평가
4.1 라이닝의 내진성능평가기법
우리나라의 1990년부터 1999년까지의 기상청자료는 연평균 25회 가량 지진이 발생하고, 최근 5년 동안은 연평균 31회 가량 지진이 발생하여 지진발생빈도가 증가하는 추세이며, 우리나라도 더 이상 지진의 안전지대가 아님을 알 수 있다. 지하구조물의 진동특성은 지반운동에 순응하여 구조물이 진동하기 때문에, 교량, 건물 등의 지상구조물과 달리 상대적으로 적은 피해를 받는다. 라이닝의 내진해석은 동적해석중 모드중첩법에 의한 응답스펙트럼법을 이용하였으며, 구조물의 고유주기뿐만 아니라, 지반과의 상호 작용을 고려한 전체계의 탁월주기 등을 고려하고, 복수의 모드에 대해 응답광폭을 산정하여 각 모드마다의 응답치의 2제곱의 평방근을 사용하는 SRSS (Square Root of the Sum of the Squares)방법을 적용하였다. 건교부제정 내진설계기준연구 (Ⅱ)에 근거하여 내진향상목표는 내진 1등급의 붕괴방지수준으로 1000년 빈도의 지진발생시 구조물의 상당한 손상은 허용하나 구조물이 붕괴되어 인명손실이나 재산피해가 초래하는 것을 방지하는 수준이다. 내진해석을 위해 적용한 프로그램은 범용프로그램인 MIDAS를 이용하였다.
4.2 예제터널 해석
심도 (m) | 탄성계수 (tonf/㎡) | 포아슨비 | 단위중량 (tonf/㎥) | |
풍화토 | 4.4 | 3.0×10e3 | 0.35 | 1.8 |
연 암 | 4.1 | 2.218×10e6 | 0.3 | 2.3 |
경 암 | 40.4 | 4.023×10e6 | 0.22 | 2.5 |
잡석채움 | - | 5×10e3 | 0.3 | 2.0 |
등가적벽돌 | - | 1.90×10e6 | 0.21 | 2.3 |
등가석재블럭 | - | 3.01×10e6 | 0.2 | 2.6 |
예제터널은 ○○터널의 갱구부로 선정하였다. ○○터널은 측벽은 석재블럭으로, 천정부는 적벽돌 조적라이닝이다. 이 터널의 지반 및 라이닝 물성치와 터널형상은 표6 및 그림3과 같다.
설계지반운동은 그림 4에 스펙트럼으로 표현하였다.
지반분류는
이며 재현주기 500년에 대한 변수값은
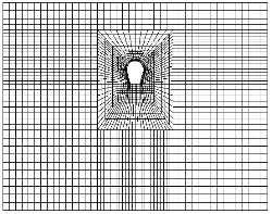
Ca = 0.09, Cv = 0.09, Ts = Cv/2.5Ca = 0.4, To = 0.2×Ts = 0.08 이며, 재현주기 1000년 (1등급)으로 보정시는 Ca = 0.09×1.4 = 0.126g, 2.5Ca = 0.315g 이다. 조적식 터널의 배면에 대한 조사결과 배면에는 공동이 형성되어있고, 잡석으로 채위진 상태였다. 따라서 표 7과 같이 배면공동의 잡석채움을 고려하였다. 공동잡석채움은 라이닝 주변에 균등하게 분포하며 공동의 폭은 10cm로 가정 하였다. 해석 모델링은 그림 5와 같이 경계면의 영향을 최소화하도록 터널 좌우측 및 하부경계는 5D이상을 유지하였다.
경계조건으로는 좌우측 경계는 X 변위를 허용하며 경계부에서 지진파의 반사를 방지하기위해 반무한체 경계를 적용하였다. 하부는 X, Y변위를 구속하였으며 지반, 라이닝, 공동잡석채움은 Solid요소를 사용하였다. 스펙트럼법을 이용한 고유치 해석은 그림 6과 같이 첫 번째모드가 주기는 약 0.1초, 질량기여도는 67.8%, 두 번째모드는 주기는 0.7초, 질량기여도는 1.78%로서 ○○터널의 지진시 거동은 대부분 첫번째모드에 의해 지배받았다. 내진해석결과는 그림 7과 같이 조적식라이닝에 발생하는 응력은 축방향응력과 축직각방향응력이 하단부에서 집중되었다.
균열모델을 이용한 ○○터널 라이닝에 작용하는 응력을 블럭, 수직, 수평 및 배면줄눈에 대하여 분해하여 검토한 결과 수평줄눈에 작용하는 응력에 의해서 인장균열이 발생할 가능성이 제일 높았으며 따라서, 수평줄눈의 균열검토만 그림 8과 같이 수록하였다. 내진설계하중의 100%를 작용하였을 때에도 인장을 유발하는 인장응력은 천정부에서
0.15 kgf/㎠, 측벽에서도
0.15 kgf/㎠ 그리고 하단부에서는
3.64 kgf/㎠가 발생하였지만 균열항복함수와 만나지 않아서 균열은 발생치 않는 것으로 나타났다.
CASE No. | 측벽부 | 천정부 | CASE No. | 측벽부 | 천정부 | ||
1 | 콘크리트 | 콘크리트 | 4 | 석재블럭 | 콘크리트 | ||
2 | 콘크리트 | 적벽돌 | 5 | 석재블럭 | 적벽돌 | ||
3 | 석재블럭 | 석재블럭 | 6 | 조적 | 적벽돌 | ||
|
|
| |||||
(a) 천정부 | (b) 측벽부 | (c) 하단부 | |||||
그림 8. ○○터널의 균열검토 | |||||||
4.3 라이닝형식에 따른 영향검토
조적식터널의 라이닝 형식은 적벽돌, 화강석 석재블럭, 석축, 콘크리트의 조합으로 구성되어 있다. 본 절에서는 터널라이닝의 형식을 고려하여 주변지반조건별 라이닝에 발생하는 응력의 경향을 검토하였다. 토피고는 RMR Ⅰ, Ⅱ, Ⅲ등급은 57m, RMR Ⅳ등급은 27m, RMR Ⅴ등급은 10m를 적용하였다. 또한 지반조건별 지진계수는 RMR Ⅰ, Ⅱ, Ⅲ등급은
로 Ca=0.126g, RMR Ⅳ,Ⅴ등급은
로 Ca=0.154g를 적용하였다. 조적식 라이닝의 형식은 표 8과 같다.
해석결과 RMR Ⅰ, Ⅱ등급은 모든경우에 균열이 발생치 않았다. RMR Ⅲ등급은 콘크리트로 구성된 CASE-1를 제외한 나머지 라이닝 형식에서 균열이 발생하였으나, 붕괴를 유발할 정도는 아니었다. 하지만 RMR Ⅳ, Ⅴ등급은 모든 경우에 붕괴가 유발되어 보강공법이 필요한 것으로 나타났다. 그림 9, 10, 11은 CASE-5 (천정:적벽돌 + 측벽: 석재블럭)중 지반조건이 RMR Ⅲ, Ⅳ, Ⅴ인 경우의 해석결과이다.
|
|
| ||
(a) 천정부 | (b) 측벽부 | (3) 하단부 | ||
그림 9. 균열검토 (RMR Ⅲ) | ||||
|
|
| ||
(a) 천정부 | (b) 측벽부 | (c) 하단부 | ||
그림 10. 균열검토 (RMR Ⅳ) | ||||
|
|
| ||
(a) 천정부 | (b) 측벽부 | (c) 하단부 | ||
그림 11. 균열검토 (RMR Ⅴ) | ||||
4.4 지반의 강성변화에 의한 영향검토
본 절에서는 라이닝이 주변지반의 강성에 따른 영향을 검토하여 개략적인 거동형태를 분석하였다. 해석은 조적식터널에서 가장 많은 라이닝형식인 측벽은 화강석 석재블럭, 천정부는 적벽돌, 토피는 H=10.0m, 지표면은 수평인 것으로 가정을 하였으며 지반강성은 RMR 등급에 따라 Ⅰ에서 Ⅴ등급으로 나누어 각 경우에 라이닝 작용하는 응력의 경향을 살펴보았다. 이때 주변지반의 강성은 RMR이 50 초과 경우는 Bieniawski (1989)에 의한 식 (13)과 RMR이 50이하인 경우는 Serafim & Pereira (1983)에 의한 식 (14)을 이용하였으며 계산결과는 표 9과 같다. 유한요소 mesh와 해석결과는 그림 12와 같다.
E = 2×RMR-100 (GPa), RMR > 50 (13)
E =
(GPa), RMR ≤ 50 (14)
지반긍급 | 평균 RMR | E (tonf/㎡) | 지반긍급 | 평균 RMR | E (tonf/㎡) |
Ⅰ | 90 | 8,000,000 | Ⅳ | 30 | 316,000 |
Ⅱ | 70 | 4,000,000 | Ⅴ | 10 | 100,000 |
Ⅲ | 50 | 1,000,000 | - | - | - |
해석결과를 살펴보면 라이닝에 발생하는 축력의 경향은 RMR Ⅰ, Ⅱ등급은 천정부와 측벽에서 인장응력
1~2 kgf/㎠정도의 낮은 값을 보였으며, RMR Ⅲ~Ⅴ등급은 천정부에서
22~55 kgf/㎠, 측벽에서는
21~45 kgf/㎠으로 나타났다. 또한 RMR Ⅲ등급 부근에서 지진시 발생하는 응력이 급격하게 증가하며 상대적으로 불량한 지반인 RMR Ⅳ, Ⅴ에서 측벽보다 천정부에서 응력집중이 심하게 나타났다. 이는 지반이 불량할수록 지반진동이 측벽보다 천정부에서 상대적으로 커지기 때문인 것으로 사료된다.
4.5 토피고 변화에 따른 영향검토
본 절에서는 조적식 라이닝중 측벽은 석재 블럭, 천정부는 적벽돌형식의 라이닝에 대해서 토피고의 변화에 따른 라이닝의 영향을 검토하였다. 지반의 물성치는 지표면에서 터널하단까지는 RMR Ⅴ등급, 그 하부는 RMR Ⅳ등급으로 가정하였고, 터널 천정부에서 지표면까지인 토피고를 10m에서 20m까지 점차적으로 증가시키면서 라이닝의 발생응력을 검토하였다. 해석결과는 그림 13과 같이 측벽이나 하단부보다 천정부에서 최대응력이 발생하였으며 토피고가 18m 이상인 경우는 토피고의 증가에 따른 영향이 적은 것으로 나타났으며, 토피고 변화에 따른 영향은 천정부가 가장 민감한 것으로 나타났다. 이상의 각 경우에 대한 검토결과 조적식 터널의 주요검토대상은 토피가 약 20m 정도로 지반등급이 RMR Ⅲ 이하인 터널을 대상으로 집중적인 검토가 있어야 할 것으로 판단되었다.
5.보강공법 선정을 위한 해석
경북 ○○폐터널의 현장조사에서 보았듯이 조적식 터널의 배면에는 공동이 분포하고 있으며 이 공동은 잡석 등으로 채워져 있는 상태이다. 조적식 터널의 보강은 터널 라이닝의 배면공동을 채움모르터 등을 이용하여 충진하는 공법과 직접 라이닝을 보강체로 보강하는 공법이 있다. 라이닝을 직접보강하는 공법은 시설한계, 조적식구조물과 보강체의 접합 등을 고려하여 신중히 선택하여야 한다. 본 절에서는 보강공법을 합리적으로 선정하기 위해 배면공동채움과 라이닝보강공법에 대한 해석을 실시하여 합리적인 보강공법을 선정하고자 한다. 보강공법은 내공면적의 침범이 적고 조적식 라이닝과 접합성이 좋고, 인장강성이 뛰어난 탄소 섬유 롯드로 보강된 폴리머 몰탈공법으로 가정하였다. 대상터널은 ○○터널의 갱구부를 이용하였으며 해석결과는 표 10과 같다.
구 분 | 천정부 (kgf/㎠) | 측벽부 (kgf/㎠) | 하단부 (kgf/㎠) |
무보강시 | 24.7 | 27.2 | 27.5 |
배면그라우팅시 | 20.06 | 15.66 | 22.86 |
라이닝보강시 | 14.0 | 4.59 | 15.2 |
해석결과는 배면공동의 잡석채움을 그라우팅으로 충진하였을 경우가 무보강시보다 응력은 고루 분포가 되는 경향이 있으나, 라이닝을 직접보강하는 공법 적용시 보강체가 상당한 응력을 분담하여 조적식 라이닝에 발생하는 응력을 현저히 감소시킨다. 그러므로 직접 보강체로 라이닝을 보강하는 공법이 조적식터널의 라이닝에서 더 효율적인 공법으로 판단된다.
6.결론
본 연구에서는 재래식 철도터널의 조적식 라이닝에 대한 내진해석기법 및 거동특성에 대해 논의 하였다. 라이닝은 대표체적내의 가상의 체적과, 동일체적내 블럭과 모르터 각각의 변형률에너지의 합과 같다고 가정하는 변형률에너지법을 이용하여 비등방등가물성을 계산하였다. 이를 통해 비교적 적은 요소망으로 원하는 정밀도를 얻을 수 있었다. 또한 시험결과를 이용 Mohr-Coulomb의 항복함수를 구할 수 있었으며, 이를 통해 균열 및 붕괴여부를 판단하였다. 내진해석은 응답스펙트럼법을 이용하여 내진성능 향상목표는 내진 1등급 붕괴방지수준으로 하였다. 예제터널, 라이닝의 형식별, 지반의 강성별, 토피고별 조적식 라이닝의 거동특성을 살펴보았으며 결론은 다음과 같다.
1. 조적식터널의 라이닝형식은 적벽돌, 석재블럭, 석축 및 콘크리트의 조합으로 되어 있었다. 현장조사결과 적벽돌 라이닝은 3~5층으로 형성이 되어 있었으며, 라이닝 배면에는 잡석 등으로 채워진 공동이 약 10cm 정도의 폭으로 있었고 이를 고려한 해석을 하여야 할 것으로 판단되었다.
2. ○○터널 갱구부에 대한 예제해석결과 라이닝의 고유치는 첫번째 모드가 0.1초 정도이며 천정부, 측벽부 및 하단부에서 균열이 발생하지는 않았다.
3. 라이닝의 형식에 따른 영향을 검토한 결과 RMR Ⅰ,Ⅱ등급은 균열이 발생치 않았으나, RMR Ⅲ등급은 콘크리트를 제외한 형식에서 균열은 발생하였으나 붕괴를 유발치는 않았다. 그러나 RMR Ⅳ,Ⅴ등급은 모든 형식에서 붕괴를 유발시킬 정도로 균열이 진행되었으며, 이들은 내진 보강공법이 필요하다.
4. 지반의 강성변화에 의한 영향을 검토한 결과 라이닝에 발생하는 축력의 경향은 RMR Ⅰ, Ⅱ등급은 낮은 값을 보였으나, RMR Ⅲ등급 부근에서 응력이 급격하게 증가하며 상대적으로 불량한 지반인 RMR Ⅳ,Ⅴ에서 측벽보다 천정부에서 큰 응력이 발생하였다. 이는 지반이 불량할수록 지반의 진폭이 측벽보다 천정부에서 상대적으로 커지기 때문인 것으로 사료된다.
5. 토피고 변화에 따른 영향을 검토한 결과 천정부에서 최대응력이 발생하였으며 토피고가 18m 이상인 경우는 토피고의 증가에 따른 영향이 적고, 토피고 변화에 따른 영향은 천정부가 가장 민감한 것으로 나타났다.
6. 이상의 각 경우에 대한 검토결과 조적식 터널의 주요검토대상은 토피가 약 20 m 정도로 지반등급이 RMR Ⅴ,Ⅵ 이하인 터널을 대상으로 집중적인 검토가 있어야 할 것으로 판단되었으며, 보강공법을 위한 검토결과는 라이닝을 직접보강하는 공법이 보강체가 상당한 응력을 분담하여 조적식 라이닝에 발생하는 응력을 감소시키므로 효율적인 공법으로 판단되었다.






= 0.5 cm ���� 배면수직줄눈
= 0.5 cm ���� 수평줄눈
= 1.0 cm (평균) 
(kgf/㎠)
(kgf/㎠)
(kgf/㎠)
(kgf/㎠)
(kgf/㎠)
(kgf/㎠)

























