1. 서 론
2. 대상지 현황
2.1 대상지 위치 및 지형 특성
2.2 지질특성 및 산성배수 발생원인 분석
3. 현장조사 및 분석
3.1 시간 경과별 유출수 및 pH변화
3.2 DEM 분석을 통한 대영역 검토
4. 수치해석
4.1 수치해석 모델 및 경계조건
4.2 지하수 수리특성 분석
4.3 터널 굴착에 따른 지하수 분포 수치해석
4.4 터널 종점부 지하수 산성배수 수치해석
5. 결 론
1. 서 론
국내 도로 및 철도 확충에 따라 터널공사의 비중이 지속적으로 증가하고 있다. 터널 시공 과정에서는 다양한 지반환경적 문제가 발생할 수 있으며, 그 중 하나가 산성배수(Acid Mine Drainage, AMD) 문제이다. 산성배수는 주로 황화광물이 공기와 수분에 노출되면서 발생하며, 낮은 pH와 높은 중금속 농도로 인해 지하수 및 주변 토양과 생태계에 심각한 환경적 영향을 미칠 수 있다. 대표적인 황화광물인 황철석(pyrite, FeS2)은 대기와 접촉 시 산화되어 수용액 내에서 H+, SO42-, Fe2+ 등을 생성하며 이러한 반응은 다음과 같이 표현된다(Singer and Stumm, 1970).
이러한 반응으로 인해 수질은 급격히 악화되며 지하수 및 토양의 산성화와 중금속 용출이 촉진된다(Kirk Nordstrom, 1982; Fornasiero et al., 1992). 또한 미생물(예: Thiobacillus ferrooxidans)의 작용은 Fe2+의 산화를 촉진하여 산성배수 반응 속도를 크게 증가시키는 것으로 알려져 있다(Snoeyink and Jenkins, 1980). 황철석 산화 과정에서 Fe3+는 강력한 산화제로 작용하여 황철석 표면의 산화 반응을 반복적으로 유도하며, pH가 약 3.5 이하로 감소할 경우 Fe3+의 활성도가 증가하여 산화 반응이 더욱 가속화된다. 반응 초기에는 황철석 표면에 Fe(OH)3 침전물이 형성되어 일시적으로 반응을 저해할 수 있으나, 지속적인 산성 환경에서는 산화 반응 속도가 침전 형성 속도보다 빠르게 진행된다.
산성배수의 형성은 암석 내 황화광물의 함량 및 분포, 광물의 형태와 결정구조, 지하수의 유입 및 흐름 경로, 지반의 파쇄 정도 등 다양한 요인에 의해 영향을 받는다. 황철석 외에도 백철석(Marcasite), 그레자이트(Greigite) 등 다양한 황화광물이 산성배수 형성에 기여하며, 이들 광물의 산화 반응 역시 산성배수의 특성에 영향을 미친다. 특히 황화광물이 존재하는 암반에서는 황철석의 산화 반응에 의해 산성배수가 주로 발생하며, 초기에는 비정질 FeS와 그레자이트가 형성된 후 황화작용을 거쳐 황철석이 생성된다. 이러한 과정은 균질한 ‘Framboids’ 형태의 황철석을 형성하며 산화 환경에서 자형 황철석보다 빠른 산 발생률을 보이는 것으로 알려져 있다. 또한 산성배수 형성은 pH 변화와 밀접한 관련이 있으며, pH가 낮아질수록 중금속(Fe, Al 등)의 용출이 증가하여 수질 오염이 심화된다. 터널 시공 시 이러한 산성배수 문제는 더욱 복잡하게 나타날 수 있다. 터널 굴착 과정에서 암반이 파쇄되고 단층 및 파쇄대를 통한 지하수 유입이 증가하면서 황화광물과 물의 접촉 면적이 확대된다. 이는 산성배수 반응을 촉진하고 지하수를 통한 오염물 확산 경로를 형성한다. 특히 터널 내부로 유입되는 산성배수는 구조물 부식, 유지관리 비용 증가 및 주변 수계 오염 등 다양한 문제를 유발할 수 있다.
지하수 수질 특성은 지질 조건, 지하수 흐름 및 인위적 영향에 의해 결정되며 이를 분석하기 위해 다양한 수질 분석 및 통계 기법이 활용되어 왔다. Abudoureyimu et al. (2010)은 교토 분지의 지하수 수질 자료를 이용하여 수질의 공간적 특성과 장기 변화를 분석하고 주요 이온 성분을 기반으로 수질 유형을 분류하였다. 또한 지하수의 이온 조성을 이용하여 건설공사가 지하수 환경에 미치는 영향을 평가한 연구(Nakamura, 2005)도 수행되었다. 터널 공사와 관련하여 굴착 과정에서 발생하는 산성수 문제와 이를 유발하는 지질 조건에 대한 연구(Hattori et al., 2003; 2007)가 수행되었으며, 열수 변질에 의한 터널 지반의 산성화와 이에 대한 대응 방안(Taiga et al., 2009)이 제시된 바 있다. 또한 기존 터널에서 발생하는 용출수의 수질 특성을 분석한 연구(Kurahashi and Ito, 2014)와 황철광 산화에 의한 산성 침출수의 영향 및 대응 사례(Ogasahara et al., 2023)가 보고된 바 있다. 이러한 산성수 발생을 사전에 예측하기 위한 방법으로 간이 pH 시험을 이용한 예측 및 정량적 평가 기법(Matsuzaki et al., 2003; 2006)이 제안된 바 있다. 국내의 터널 시공 사례에서도 산성배수로 인한 장기적인 유지관리 비용 증가와 환경 피해 사례가 보고되고 있으나, 터널 환경에서의 산성배수 발생 특성과 지하수 유동 및 오염물 거동에 대한 체계적인 연구는 아직 충분히 이루어지지 않은 실정이다.
따라서 본 연구에서는 경상남도 밀양시 A 터널 구간을 대상으로 지질 및 수리·지질학적 특성을 분석하고, 수치해석을 통해 터널 굴착에 따른 지하수 유동 변화와 산성배수의 확산 거동을 평가하였다.
2. 대상지 현황
2.1 대상지 위치 및 지형 특성
본 연구는 경상남도 밀양시에 위치한 A터널 구간을 대상으로 수행되었다. 대상 구간은 연장 약 2 km로, 터널 주변은 급경사의 산악지형으로 구성되어 있으며, 자연배수 조건 및 지하수 유동 특성에 민감한 환경이다. 대상지역의 위치는 Fig. 1에 나타내었다. 해당 지역은 주로 백악기 화산암류로 구성되어 있으며, 주요 암석은 안산암질 응회암 및 안산암질암이다. 암반 내에는 다양한 규모의 단층대 및 파쇄대가 발달해 있으며, 이는 지하수 유동 경로 형성에 주요한 역할을 한다. 특히, 터널 상부에는 과거 납석광산이 분포하고 있으며, 암반 내에는 황철석(Pyrite, FeS2) 등 황화광물이 존재하는 것으로 확인되었다. 터널 시공 이후 종점부 인근에서 산성배수(AMD)가 발생하였으며, 이는 암반 내 황화광물의 산화반응에 의해 유도된 것으로 판단된다.
2.2 지질특성 및 산성배수 발생원인 분석
대상지역은 주로 백악기 화산암류로 구성되어 있으며, 주요 암석은 안산암질 응회암 및 안산암질암으로 이루어져 있다(Oh and Chon, 1993; Chae et al., 2018; Jung et al., 2024). 해당 지역의 암반에는 다양한 규모의 단층 및 파쇄대가 발달되어 있으며, 이러한 구조적 특성은 지하수의 주요 유동 경로로 작용할 가능성이 있다. 지질 및 지질구조 분석 결과는 Fig. 2에 나타내었다. 지질조사 결과 단층대는 북서–남동 방향으로 발달하는 경향을 보이며, 이러한 구조선은 지하수 흐름 및 오염물 이동 경로에 영향을 미칠 수 있다. 또한 대상지역의 암반은 전반적으로 중간 정도의 풍화가 진행되어 있으며, 지표 부근에서는 연암 및 풍화토가 일부 분포하는 것으로 확인되었다. 대상 터널 상부에는 과거 납석광산이 분포하고 있으며, 암반 내에는 황철석(Pyrite, FeS2) 등 황화광물이 포함되어 있는 것으로 확인되었다. 이러한 황화광물은 공기와 물에 노출될 경우 산화반응을 통해 산성배수(AMD)를 발생시킬 가능성이 있다(Kirk Nordstrom, 1982; Kirk Nordstrom and Alpers, 1999; Rimstidt and Vaughan, 2003). 특히 터널 굴착 과정에서 암반이 파쇄되고 지하수 유입이 증가하면서 황화광물과 지하수의 접촉이 확대되어 산성배수 발생이 촉진될 수 있다. 따라서 대상지역의 지질구조와 황화광물 분포는 산성배수 발생 및 확산 거동에 중요한 영향을 미치는 요소로 판단된다.
3. 현장조사 및 분석
3.1 시간 경과별 유출수 및 pH변화
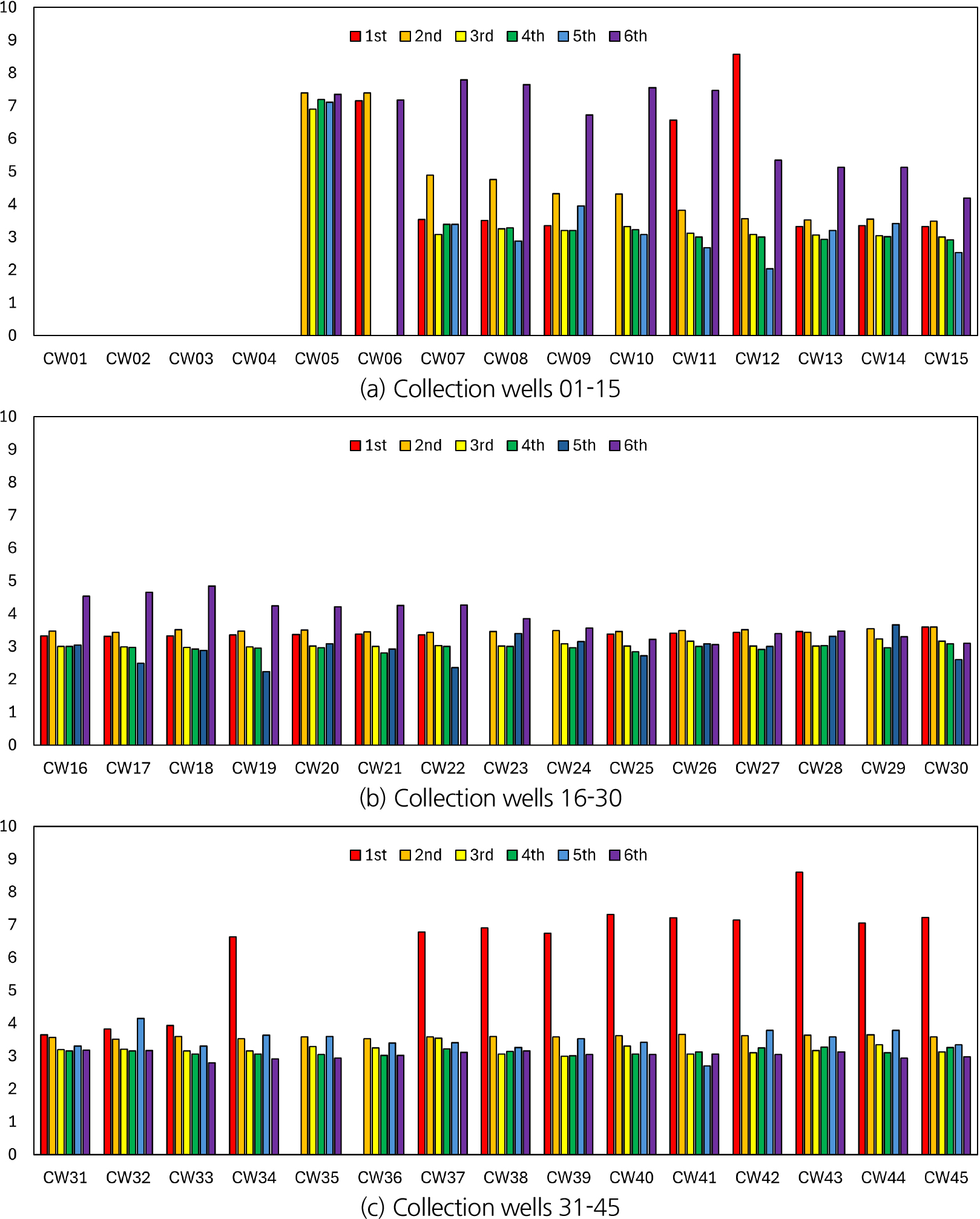
터널 내부 산성배수 발생 특성을 파악하기 위하여 Fig. 3을 보듯이 시점–종점 구간의 총 45개의 집수정에서 유출수의 pH를 측정하고 시간 경과에 따른 변화를 분석하였다. 측정 결과는 Fig. 4에 나타냈다. 그림을 보듯이 대부분의 집수정에서 pH 2.04–4.89 범위의 강산성 지하수가 배출되는 것으로 확인되었다. 다만 집수정 CW05–06 구간은 pH 6.9–7.39 범위로 나타나 중성에 가까운 값을 보였다. 이는 해당 구간이 토사 및 풍화암 구간으로 상부 토피로부터 유입되는 지표수와 폐광산 중화제 유입 등의 영향에 의해 상대적으로 높은 pH를 나타낸 것으로 판단된다. 또한 CW07–12 구간과 CW34–40 구간은 대부분 강산성 범위의 pH 값을 나타냈으나, 일부 측정 시기에서는 약산성에서 중성 범위(pH 5.13–8.57)의 값을 보이기도 하였다. 시간 경과에 따른 유출수의 pH 변화는 초기 조사 시 토피가 낮은 시점부 및 중점부 계곡부에서 지표수 유입의 영향으로 중성에 가까운 값을 보인 경우를 제외하면, 대부분의 구간에서 시간 경과에 따른 큰 변화 없이 산성 상태가 유지되는 것으로 나타났다.
3.2 DEM 분석을 통한 대영역 검토
지하수 유동 해석을 위한 수치해석 모델 구축에 앞서, DEM (Digital Elevation Model) 분석을 통해 지형이 지하수 흐름에 미치는 지배적 영향을 검토하였다. Fig. 5를 보듯이 DEM 분석을 통해 연구 대상지의 고도 분포 및 지형적 특성을 파악하고, 이를 기반으로 지하수 유동 경향과 하천과의 연관성을 평가하였다. DEM 기반 지형고도 분석 결과, 사업노선 상부에서 동측 및 남측으로 유출되는 경향이 뚜렷하게 나타났으며, 주요 단층대 및 파쇄대가 존재하는 지역과 일치하는 흐름 경로가 확인되었다. 또한, DEM 분석을 통한 지하수 흐름 분석 결과에서는 사업노선을 중심으로 좌, 우측 산지에서 형성된 유출경향이 확인되었으며, 이는 지하수 유입 및 산성배수 발생에 중요한 영향을 미칠 것으로 판단된다.
4. 수치해석
4.1 수치해석 모델 및 경계조건
본 연구에서는 터널 굴착에 따른 지하수 유동 변화와 산성배수의 확산 거동을 정량적으로 평가하기 위해 지하수 유동 모델링을 수행하였으며, 주변 지하수위 및 수리전도도를 조사, Visual MODFLOW 프로그램을 이용하여 지하수 유동 해석을 수행하였으며, Drawdown package를 활용하여 터널 굴착에 따른 지하수위 변화를 분석하였다.
대상지의 모델영역은 Fig. 6을 보듯이 유역면적을 고려하여 6.2 × 6.5 km로 구분하고 노선에 영향을 미치는 유역면적을 모델영역으로 설정하였다. 격자망의 크기는 5.0 × 5.0 m, 배후지 영역의 격자망 크기는 10–20 × 10–20 m가 되도록 각각 이산화하고, 격자망의 3개의 layer를 499개의 행과 499개의 열을 가지는 유한차분 격자망을 구성하였다. 모델링영역 내 위치한 하천들은 지하수 유출에 의한 인위적인 수두 손실을 고려하기 위해 하천수위는 인공위성사진과 수치지형도(1:1,000)를 분석하여 지표고와 보간법을 활용하여 고정수두경계(Constant Head Boundary) 및 하천경계(River Package)로 설정하였으며, 지표분수령 및 간헐천은 지하수 유출에 의한 인위적인 수두 손실을 고려하기 위해 배수경계(Drain package)로 설정하였다.
4.2 지하수 수리특성 분석
지하수 유동 해석을 수행하기 위하여 대상 지역의 수리특성을 분석하고 이를 수치해석 모델에 적용하였다. 지하수 함양량은 밀양기상관측소의 최근 10년(2014–2023년) 강수자료를 이용하여 산정하였으며, 대상 지역의 연평균 강수량은 약 1,212.7 mm로 나타났다. 월평균 강수량은 24.1–235.1 mm범위로 분석되었으며, 해당 강수자료는 수치해석 모델의 지하수 함양 조건 설정에 활용하였다. 밀양기상관측소의 강수자료는 기상청(KMA, 2025)에서 제공하는 관측자료를 활용하였으며, 최근 10년간 평균 월 강수량은 Table 1에 나타냈다.
Table 1.
Average monthly rainfall at the Miryang meteorological observatory (last 10 years) (KMA, 2025)
| Time (Month) | 1 | 2 | 3 | 4 | 5 | 6 | 7 | 8 | 9 | 10 | 11 | 12 |
| Rainfall (mm) | 24.1 | 26.5 | 73.2 | 86.8 | 86.5 | 141.9 | 223.0 | 235.1 | 169.1 | 76.0 | 40.1 | 30.5 |
지표에 도달한 강수에 의한 지하수 함양량은 강수량뿐만 아니라 지표 피복 조건에 따라 달라지므로 본 연구에서는 환경부(ME, 2017)의 토지피복도(GIS 자료)를 활용하여 모델링 영역의 지표 피복 특성을 분석하였다. 분석 결과를 바탕으로 지표 피복을 주거 및 도시지역과 녹지지역으로 구분하였으며, 지하수 함양률은 경상남도 지하수관리계획 보고서(Gyeongsangnam-do, 2015)에 제시된 지하수위강하곡선 해석 결과를 참고하여 밀양강 권역의 평균 함양률인 14.8%를 적용하였다. 또한 주거 및 도시지역의 경우 불투수층의 영향을 고려하여 평균 함양률의 약 50% 수준인 7.4%를 적용하였다. 수리전도도(Hydraulic conductivity, K)는 터널 구간에서 수행된 투수시험 및 수압시험 결과를 기반으로 산정하였다. 현장 시험 결과의 기하평균값을 대표 수리전도도로 적용하였으며, 풍화대 및 파쇄대의 분포와 같은 지질구조 특성을 고려하여 수리전도도의 공간적 변화를 반영하였다. 또한 수치해석 모델에서 실제 지하수계를 합리적으로 재현하기 위하여 수리전도도에 대한 민감도 분석을 수행하였으며, PEST (Parameter ESTstimation) 모듈을 이용하여 수리매개변수를 보정하였다. 수치해석에 적용된 수리전도도 및 수리매개변수(비저장계수(Ss), 비산출계수(Sy)는 Table 2에 나타냈다.
Table 2.
Hydraulic parameters used in the numerical model
저류계수(Storage coefficient, S)는 토사 및 풍화대의 경우 공극률을 고려하여 산정하였으며, 기반암 대수층의 경우 암종 및 균열 특성을 반영하여 설정하였다. 이러한 수리매개변수는 현장 조사자료와 수리시험 결과를 기반으로 설정하여 수치해석 모델에 적용하였다.
4.3 터널 굴착에 따른 지하수 분포 수치해석
NATM 터널 굴착에 따른 수위강하 및 지하수 유입량을 계측자료와 비교 및 검토하여 부정류 해석모델의 적용성을 검증하였다. 본 연구에서는 노선 중 NATM 구간인 A터널을 대상으로 수치해석을 수행하였으며, 수치해석 모델링 시 터널 공정 및 굴착 구간을 고려하여 굴착기간을 설정하였다. A터널은 시점과 종점에서 동시에 굴착을 수행하여 중점에서 관통하는 양방향 굴착 공정으로 시공이 되었으며, 상반 굴착을 시작 후 하반 굴착이 진행되는 방식으로 이루어졌다. 울 함양방향의 경우 시점에서 중점까지의 굴착기간은 716일, 종점에서 중점까지의 굴착기간은 680일로 설정하였다. 또한 울산방향의 경우 시점에서 중점까지는 705일, 종점에서 중점까지는 705일의 굴착기간을 적용하였다. 터널 전도계수(conductance)는 굴착 시 암반등급에 따른 수리전도도와 터널 제원을 고려하여 산정된 값을 적용하였다. 또한 숏크리트의 수리전도도는 참고문헌에서 제시된 차수효과를 고려하여 1.0 × 10-5 cm/s로 설정하였다(Uzomaka, 1975; Wang and Narasimhan, 1985). 시간에 따른 굴착 공사의 영향을 분석하기 위하여 터널 노선 일대에 형성되는 지하수위 강하 영향권을 평가하였으며, 예측 시기는 시공 중, 굴착 완료 시점, 그리고 굴착 완료 후 5년까지로 설정하여 수치해석을 수행하였다. 이러한 방법은 터널 굴착 과정에서 발생하는 지하수 유입과 차수효과를 고려하여 지하수위 변화를 보다 현실적으로 재현하기 위함이다.
터널 굴착에 따른 지하수위 분포 수치해석 결과는 Fig. 7과 Table 3에 나타내었다. 그림과 표를 보듯이 터널 굴착이 50% 진행된 시점에서 최대 영향면적은 약 0.075 km2로 나타났다. 이후 굴착 완료 시에는 0.461 km2로 증가하였으며, 굴착 완료 후 1년에는 0.329 km2, 3년 후에는 0.194 km2, 5년 후에는 0.055 km2로 점차 감소하는 경향을 보였다. 이는 지형고도가 상대적으로 높고 주 대수층이 풍화대 및 낮은 암반등급이 분포하는 구간에서 지하수위 강하가 크게 발생한 반면, 하천이 발달한 계곡부에서는 지하수 공급이 원활하여 수위강하가 상대적으로 작게 나타났기 때문이다. 또한 굴착 종료 후 지하구조물의 외벽 및 바닥면에 대한 방수공사가 진행됨에 따라 굴착 과정에서 하강했던 지하수위가 점차 회복되는 것으로 나타났다. 구조물 완공 이후에는 소량의 지하수 유입이 지속되면서 지하수위 분포가 점차 준정류 상태에 도달하는 것으로 분석되었다.
Table 3.
Predicted area of groundwater level decline over time
|
50% excavation progress |
Completion of excavation |
1 year after completion |
3 year after completion |
5 year after completion | |
| Maximum affected area (km2) | 0.075 | 0.461 | 0.329 | 0.194 | 0.055 |
굴착 시작 시점부터 계측자료와 비교하여 터널 굴착에 따른 수치해석 결과를 분석한 결과는 Fig. 8에 나타냈다. 그림을 보듯이 모델링 결과에서의 지하수 유출량이 실제 계측자료보다 다소 크게 나타났다. 그러나 굴착이 진행되는 과정에서 유출량이 증가하고, 운영 중 여름철 강우에 의해 유출량이 일시적으로 증가한 후 다시 감소하는 전반적인 변화 경향은 계측자료와 유사하게 모사된 것으로 나타났다. 또한 굴착 공사가 진행되는 과정에서 2020년 초반부터 실제 계측자료에서는 유출량이 공사 종료 시점까지 급격히 감소하였다가 종료 직후 급격히 증가하는 양상이 나타났다. 이는 공사 현장에서의 다양한 변수에 의한 영향으로 판단되며, 수치해석 모델에서는 이러한 현장 조건을 모두 반영하기 어려워 유출량의 급격한 변화까지는 모사되지 않았다. 그러나 전반적인 유출량 변화 경향은 계측자료와 유사하게 재현된 것으로 분석되었다. 이러한 결과는 본 연구에서 구축한 수치해석 모델이 터널 굴착에 따른 지하수 유출량 변화의 전반적인 경향을 재현하고 있음을 확인하였다.
4.4 터널 종점부 지하수 산성배수 수치해석
산성배수 거동 모델링의 입력상수는 기존에 수행된 정류상태 지하수 모델링에서 적용된 입력상수를 동일하게 반영하여 사용하였다. 또한 보수적인 검토와 자료 수집의 한계로 인해 흡착 및 생분해 과정은 제외하고, 이류(advection), 확산(diffusion) 및 분산(dispersion)에 의한 영향만을 고려하여 모델링을 수행하였다. 건조단위중량은 Table 4에 나타냈으며, 일반적인 문헌 값을 참고하여 매립 및 붕적층은 1,800 kg/m3, 풍화대는 2,100 kg/m3, 기반암은 2,800 kg/m3을 적용하였다. 산성배수 거동 모델링 입력상수는 Table 6에 나타냈다. 또한 산성배수 거동 모델링에서는 선형흡착(linear sorption) 반응모델을 적용하여 오염물질의 이동을 가정하였다. 오염구간은 암버럭 야적장과 pH 농도가 낮아지기 시작하는 터널 종점부를 오염 경계조건으로 설정하여 산성배수 거동 해석을 수행하였다. 황산이온의 수질환경기준은 사람의 건강보호 기준인 200 mg/L를 최소 기준으로 설정하였으며, 지하수 흐름 방향과 산성배수 이동 경로를 고려하여 오염 감시정을 설치하고 시간에 따른 오염 농도 변화를 예측하였다.
Table 4.
Input parameters for acid drainage transport modeling
| Dry unit weight (kg/m3) |
Dispersivity (m) | Initial concentration (mg/L) | |||
| Sedimentary layer | Weathered zone | Bedrock | |||
| Sulfate ion (SO42-) | 1,800 | 2,100 | 2,800 | 1.25 | 3,000 |
수치해석 결과는 Fig. 9와 Table 5에 나타내었다. 해석 결과 굴착 완료 이후 터널 종점부에서 오염물이 누출되는 것으로 가정할 경우, 대수층 내 오염물질은 지하수 흐름 방향을 따라 이동하며 황산이온 농도 200 mg/L를 기준으로 동측 방향으로 확산되는 것으로 나타났다. 그 영향 범위는 굴착 완료 후 10년 시점에서 최대 약 84 m까지 확산되는 것으로 예측되었으며, 주변 지하수 이용시설에는 직접적인 영향을 미치지 않을 것으로 판단된다. 하지만 본 모델링에서 산정된 최대 영향거리는 지하수 흐름에 따른 이류와 확산 과정에 의해 계산된 결과이므로, 배수로나 농수로 등을 통해 지표로 유출될 경우 주변 농경지로 산성배수가 유입될 가능성이 있는 것으로 판단된다.
5. 결 론
본 연구에서는 경상남도 밀양시 A터널 구간을 대상으로 터널 굴착에 따른 지하수 유동 변화와 산성배수 확산 거동을 분석하였으며, 연구 결과는 다음과 같다.
1. 터널 내부 집수정에서 측정된 유출수의 pH는 2.04–4.89 범위로 대부분 강산성을 나타냈으며, 일부 구간에서는 지표수 유입 등의 영향으로 중성에 가까운 값을 보였다. 이는 암반 내 황철석 등 황화광물의 산화 반응에 의해 산성배수가 발생한 것으로 판단된다.
2. DEM 분석 결과 대상 지역의 지하수 흐름은 동측 및 남측 방향으로 형성되는 경향이 나타났으며, 단층 및 파쇄대가 지하수 유동 경로 형성에 중요한 영향을 미치는 것으로 분석되었다.
3. 지하수 유동 수치해석 결과 터널 굴착에 따른 지하수위 강하 영향면적은 굴착 완료 시 약 0.461 km2로 나타났으며, 굴착 종료 이후 시간이 경과함에 따라 지하수위가 점차 회복되는 경향을 보였다.
4. 산성배수 확산 수치해석 결과 황산이온 기준 오염물질은 지하수 흐름 방향을 따라 확산되며, 굴착 완료 후 10년 시점에서 최대 약 84 m까지 확산되는 것으로 예측되었다.
본 연구 결과는 터널 굴착에 따른 지하수 유동 변화와 산성배수 확산 특성을 이해하는 데 기초자료로 활용될 수 있으며, 향후 터널 설계 및 유지관리 단계에서 산성배수 발생 가능성을 고려한 관리 방안 수립에 활용될 수 있다. 또한 산성배수 거동에 대한 보다 정확한 평가를 위해 장기 모니터링 자료를 활용한 추가적인 검증 연구가 필요하다.











