1. 서 론
2. 프로젝트 개요 및 설계개념 개발
2.1 프로젝트 개요
2.2 지반 조건 및 암반 정수
2.3 굴착 및 건설 개념 개발
2.4 터널 원상 복구 계획
3. 단면, 굴착 및 지보 설계
3.1 단면 및 굴착 설계
3.2 지보 설계
4. 교차부 안정성 평가 및 수치해석
4.1 교차부 안정성 평가
4.2 3차원 경계요소 해석
5. 결 론
1. 서 론
최근 지하공간 개발이 가속화됨에 따라 터널의 장대화 경향이 뚜렷해지고 있으며, 국내외적으로 수십 km 이상의 대규모 터널 건설 사례가 지속적으로 증가하고 있다(Kim et al., 2002; 2010; Ehrbar, 2008; Kim, 2022). 이러한 장대 터널 프로젝트에서 주어진 공기 내에 시공을 완료하기 위해서는 다점 분할 굴착 방식이 필수적이며, 이를 위해 수직구나 공사용 사갱과 같은 공사용 터널(Construction Tunnel)을 활용한 효율적인 동시 작업 계획 수립이 핵심적인 요소로 작용한다(Yang et al., 2012; Kim, 2025).
일반적으로 공사용 터널은 명확한 설계 지침이나 기준이 수립되어 있지 않아 본선 구조물과 동일한 기준을 적용해 왔다. 그러나 임시 구조물이라는 특수성을 고려할 때, 과다 설계를 지양하고 목적에 부합하는 실용적이며 경제적인 설계 방법론을 적용할 필요가 있다. 특히 시공 효율성 측면에서 임시 터널의 위치 선정은 전체 공정의 주공정선(Critical Path)을 결정짓는 결정적 요인이 되므로, 공기 최적화, 지반 조건, 경제성 등을 종합적으로 고려한 계획 수립이 요구된다. 아울러 시공 후의 지형 복원 계획 및 잔존 구조물의 활용 여부 또한 설계 단계에서 다루어야 할 주요 현안이다.
본 논문에서는 최근 수행된 해외 장대 고속철도 터널(연장 12 km) 현장의 사례를 바탕으로, 촉박한 공기 조건에 대응하기 위해 시공 중 추가로 계획된 임시 우회터널(Bypass Tunnel)의 설계 및 분석 과정을 제시하고자 한다. 해당 프로젝트는 우회터널 계획 당시 이미 본선 시공이 진행 중인 긴박한 상황이었으므로, 통상적인 상세 설계 프로세스를 적용하기에 시간적 제약이 컸다. 이에 본 연구에서는 설계의 신뢰성을 확보하면서도 단기간 내에 최적의 해를 도출하기 위해 기존 설계 데이터를 최대한 활용하는 합리적 설계 기법을 적용하였다. 이를 위해 공기 단축을 위한 다각적인 노선 검토를 수행하였으며, 환경 훼손을 최소화할 수 있는 효율적인 터널 복원 방안을 제안하였다.
특히 임시 공사용 터널은 본선 또는 지하 구조물과의 연결을 위해 다수의 분기점 및 교차부를 형성하게 되는데, 이러한 교차부의 구조적 안정성 확보는 설계의 핵심적인 이슈이다. 본 논문에서는 다양한 암반 조건에 대해 기 수행된 교차부 3D/2D 해석 결과를 데이터베이스로 활용하여 신속하게 분석하는 방법(Hsiao et al., 2009)을 제시하고, 분석 결과에 대해 한계 변형률(Critical Strain)에 근거한 경험적 지보 안정성 평가(Sakurai, 1993; Chern et al., 1998)를 실시하여 제안된 방법론의 타당성을 검증하였다.
2. 프로젝트 개요 및 설계개념 개발
2.1 프로젝트 개요
본 프로젝트는 총 연장 28 km의 장대 고속철도 터널 중 12.5 km 구간으로서 폭 15 m 높이 10 m의 쌍굴 본선터널(Main tunnel, MT)이 고도가 약 1,000–1,200 m인 고원 및 산악지역에서 동쪽 갱구(Portal)까지 직선 하향 경사로 이어진다. 터널 내 구조물은 4방향으로 본선터널 굴착을 하기 위한 진입용 공사 터널(Construction Tunnel, CT) 3개소, 공사 터널로부터 확장되는 지하구조물인 횡갱(Cross Cavern, CC) 3개소, 두 본선터널을 이어주는 14개소의 피난연락갱(Cross Passage) 그리고 2개소의 환기 수직구(Shaft) 등으로 구성된다. Fig. 1에 프로젝트 개요도를, Table 1에 횡갱의 주요 사항을 설명하였다.
Table 1.
Cross caverns: Profile type and length arrangement
| Cross cavern No. | 1 | 2 | 3 |
| Gradient (%) | 2.5 | 2.5 | 2.5 |
|
Depth below ground level | 325 | 189 | 107 |
| Section size (m) | 18 × 20 | 20 × 20 | 20 × 20 |
| Length (m) | 80.7 | 108.3 | 80.7 |
| 3D isometric view | ![]() | ![]() | ![]() |
Fig. 1과 같이 동쪽 갱구부를 제외하고는 3개소의 공사용 터널을 통해 진입해야 하며, 진입 후 횡갱의 굴착이 완료된 후에 최종적으로 총 14개의 주터널 굴착이 이루어지게 계획되었으나, 완공까지 3년 6개월이라는 매우 짧은 공기가 주어졌다. 또한 공사용 터널의 대부분 구간이 선 시공된 후, 본선터널 시공을 위해 인도되도록 계획되었으나 자체 연장이 0.6–2 km에 이르는 공사용 터널의 시공에 지연이 발생하였다. 결과적으로 동쪽 갱구부를 제외한 다른 지역의 본선터널 굴착은 상당히 지연되게 되었다.
또한 Table 1과 같이 횡갱의 단면 크기가 매우 커서 상하반 분할 굴착 후에 본선터널 굴착이 가능하므로 이에 상당한 시일이 소요될 것으로 판단되었다. 결국 기존 공사용 터널에서 횡갱을 거치지 않고 바로 본선터널로 우회 진입하여 부족한 공기를 만회하고 효율적인 터널 작업을 할 수 있는 임시 우회터널(Temporary Bypass Tunnel)을 계획하게 되었다.
2.2 지반 조건 및 암반 정수
터널 노선 구간은 깊이가 20–450 m까지 변하고, Fig. 2에서와 같이 전체 노선 지질은 다양한 화성암과 퇴적암류로 이루어져 있다. 특히 시점부의 화성암 구간은 산악지형으로 진입이 어려워서 지반정보가 한정적이었다. 결정질 화성암 부분은 화강섬장암(syenogranite, gs), 알카리장석 화강암(alkali feldspar granite, qs)가 주 암종이며 각섬석(hornblende) 및 반암(porphyritic) 밴드(iqmg) 및 세일(shale, mn) 등이 부분적으로 나타나며, 이후 퇴적암구간은 Siq 사암(sandstone, Єs), Quweira 사암(Єq), Umm Sahm 사암의(OЄr) 3종으로 구분되나 대부분 구간을 Siq 사암으로 간주하여 설계하였다. 진입터널의 위치로 볼 때 CT1 및 CC1 주변은 주로 알카리 장석 화강암, CT2 및 CC2는 주로 화강섬장암, 그리고 CT3 및 CC3는 Siq 사암으로 대표될 수 있다. 지반조사 결과 분석에 의하면, 대부분의 경우 암질은 양호에서 우수한 등급으로 예측되었다.
설계시 예측된 지반 물성에 대한 지보패턴을 결정하였으며(Table 2), 먼저 GSI (Hoek et al., 2013)를 사용하여 3가지 암반 등급(Rock Mass Classes, RMC)에 대해 Q 값을 기준으로 총 6개의 지보 패턴에 대한 대표 물성을 도출하였다.
Table 2.
Rock mass design parameters in the detailed design
|
Support type |
Q value (NGI, 2023) |
Rock mass category |
Unit weight (kN/m3) |
Failure criterion | Hoek-Brown failure criterion (2018 Ed.) |
Rock mass modulus, Erm (MPa) | ν′ |
In situ stress ratio (K) | ||||||
| GSI | UCS (MPa) | mi | D | IG* | SE** | |||||||||
| IG* | SE** | (Hoek et al., 2013) | IG | SE | ||||||||||
| 1 | > 10 |
RMC1 (GSI: 60–80) | 27 | 22 |
Hoek- Brown | 80–100 | 70 | 60 |
gr/qs 30–35: 33 |
0 (beyond 1.5 m damage zone) |
15,700* (15,000) |
9,000* (9,000*) | 0.25 | 0.5–1.5 |
| 2 | 6–10 | 27 | 22 | 60–100 |
15,000 (11,000) |
9,000* (9,000*) | ||||||||
| 1–6 |
RMC2 (GSI: 40–60) | 27 | 22 | 50–100 | 65 | 55 |
8,100 (6,000) |
7,400 (5,600) | ||||||
| 3 | 0.4–1 | 27 | 22 | 45–50 (45) | 60 | 50 |
Siq sandstone - 17 |
5,800 (4,400) |
5,300 (4,000) | |||||
| 4 | 0.1–0.4 | 27 | 22 | 40–45 (40) | 50 | 40 |
4,000 (3,000) |
3,600 (2,700) | ||||||
| 5 | 0.01–0.1 |
RMC3 (GSI: 15–40) | 27 | 22 |
Mohr- Coulomb | 25–40 (25) | 45 | 35 | 1,600 | 1,400 | 0.3 | 0.5–1.0 | ||
| 6 | 0.003–0.01 | 27 | 22 | 15–25 (15) | 30 | 20 | 700 | 600 | ||||||
실제 지반 조사 결과에서는 지보등급 5, 6은 거의 발생하지 않았으며, 이러한 지반에는 강관 다단 그라우팅 등의 특수 보강이 필요하므로, 만일 우회터널 굴착시 이러한 지질을 만난다면 실제 공기를 만회하는 효과를 얻을 수 없을 것이다. 따라서 우회터널의 설계는 기본적으로 이러한 암반을 만나지 않는 것으로 가정하여 지보등급 1–4에 기초하여 설계하였다.
2.3 굴착 및 건설 개념 개발
총 3개의 공사용 터널에서부터 우회터널은 분기하여 본선터널로 바로 진입하게 된다. Fig. 3은 초기 단계에 검토된 기본 계획을 보여준다. 공사용 터널과 횡갱 부근에서 총 6개의 임시 우회터널이 왼쪽과 오른쪽 각 방향으로 계획되었다.
CT2의 경우에는 주변에 영구 구조물인 피난연락갱이 계획되어 있어서 이를 고려한 노선 결정이 필요하였다. 하지만 이와 같은 기본 계획에 의문이 제기되었는데, 우회터널이 기존 횡갱에 최대한 가깝게 본선터널로 진입할 경우에 결국 진입 후에 굴착 되어야 하는 본선터널 굴착량이 횡갱 굴착 후 굴착 되어야 하는 길이와 큰 차이가 없다는 점이다.
이러한 공기 단축(Critical path) 개념을 CT2의 경우를 예시로 Fig. 4와 같이 나타내었다. 임시 우회터널을 통해 본선터널에 진입할 경우 4방향 동시 굴착이 이론적으로 가능하므로, 실제 전체 공기에 영향을 미치는 것은 횡갱 반대 방향이다. 즉, 횡갱 방향으로는 전체 공기에 영향을 주지 않는 상태에서 계속 굴착이 가능하나, 반대 방향으로는 전체 공기에 직접적으로 영향을 미친다.
따라서 만일 우회터널이 횡갱으로부터 멀리 떨어진 위치에서 진입하게 되면 전체 공기 단축 측면에서는 훨씬 유리하게 된다. 이에 따라 우회터널 굴착 길이를 최소화하고, 횡갱으로부터 최대한 멀리 떨어진 위치에 진입할 수 있는 최적 경로를 검토하였다.
하지만 문제는 우회터널 길이 증가에 따른 추가 공사 비용과 우회터널이 임시구조물임을 고려할 때 향후 복원 등에 추가 노력이 드는 치명적인 결점이 있으므로 결국 추가적인 공기단축보다는 비용적인 측면을 고려할 수 밖에 없었으며, 결국 횡갱 근처에서 안정성을 해치지 않는 범위 내에서 진입하는 것으로 최종 노선이 결정되었다.
또 다른 문제는 애초 Fig. 4와 같이 CT에서 왼쪽과 오른쪽으로 분기될 때 안정성 이슈로 인해 지그재그 형식으로 분기되도록 계획하였으나, 이 경우 공사 효율성 측면에서 여러 어려움이 발생할 것으로 예측되었다. 따라서 십자형으로 교차하는 경우 터널 안정성 문제에 문제가 없다면 시공시 더 효율적일 것으로 판단하여 최종적으로 십자 교차로 결정하게 되었다. 또 한 가지 이슈는 CT에서 우회터널로 분기할 때 두 터널 간의 교차각을 예각으로 하였으나 이 부분 역시 안정성 측면에서 문제가 될 것으로 예상되어 최종 직각 교차로 결정하였다.
이렇게 다양한 노선 검토를 통해 최종적으로 결정된 노선도(CT2)를 Fig. 5(a)와 같이 나타내었다. 또한 나머지 CT1, CT2, CT3의 3D BIM 모델을 Fig. 5(b)에 도시하였다. BIM 모델은 전체 터널 노선에 대해 초기부터 적용되어서 노선 결정, 지질 및 지반보강 정보 및 공기 정보 등을 통합하여 프로젝트 품질 향상에 기여하였다. 본선터널은 하향 경사이므로, 왼쪽과 오른쪽 임시 우회터널에서 주터널 진입시 상당한 경사차이가 존재한다. 따라서 우회터널의 종단경사는 장비의 이동을 고려하여 10% 이내로 노선을 결정하였다.
당초 횡갱 20 m 전에서 분기 계획이 필라부 안정성 이슈로 30 m로 증대되었다. 또한 실제 조우하는 지반 조건을 고려하여, 양호한 암질을 기준으로 분기 지점을 탄력적으로 변경할 수 있도록 하였다.
2.4 터널 원상 복구 계획
우회터널은 임시구조물로서, 본선터널 굴착이 완료된 후 원상 복구(reinstatement)되어야 한다. 여러 가지 대안들이 검토되었으나 최종적으로 환경 문제나 향후 안정성 문제 등을 고려하여 최종 콘크리트 플러그를 설치한 후에 되메움하는 것으로 계획되었다. Fig. 6은 이러한 원상 복구 개념도이다.
교차부가 많기 때문에 다수의 콘크리트 플러그 시공이 필요하며, 전단력에 대한 저항을 위해 전단키를 설치하고 바닥부를 넓게 계획하였다.
암버럭을 이용하여 되메움을 실시할 계획이지만 기본적으로 터널 전구간을 완벽하게 채우는 것은 오랜 기간이 걸리고 불가능하다. 따라서 터널 어깨부 근처까지 되메움재를 채운 후에 콘크리트 플러그 타설 이후 유동화 채움재(flow fill)를 이용하여 채우는 것으로 계획하였다. Fig. 6에 고려될 수 있는 다양한 유동화 채움재 대안을 나열하였다.
3. 단면, 굴착 및 지보 설계
3.1 단면 및 굴착 설계
임시 우회터널은 본선터널 굴착시 주요 작업 진입 통로이므로 단면은 주 굴착장비의 이동 및 암버럭 처리가 원활해야 한다. 설계적인 측면에서는 기존 공사용 터널과 동일한 단면이 유리하지만, 결국 본 터널이 원상 복구되어야 하는 점을 고려하여 굴착 및 복원량을 최소화할 수 있도록 최적화하였다. Fig. 7은 최종 결정된 우회터널의 단면과 기존 공사용터널(CT)을 나타내었다. 당초 4막장에 대한 환기를 위해 4개의 환기 덕트 통과가 주요 제약조건이나 양방향으로 우회터널이 굴착되므로 각 우회터널 당 2개의 덕트가 요구되는 공간으로 단면설계를 수행하였다.
이러한 단면 설계에 따라 이슈는 우회터널이 본선터널과 만나는 교차부에서 어떠한 크기로 굴착을 할지 여부이다. 주터널의 단면이 훨씬 크기 때문에 교차부를 확장하여 주터널 크기에 맞출지(1안) 아니면 원래 우회터널 단면을 유지할지(2안)에 대해서 검토하였다(Fig. 8).
두 방법 모두 뚜렷한 장단점이 있는데 1안의 경우 시공이 더 용이하지만 굴착량이 증대되고 단면 증대에 따른 교차부 안정성 이슈가 있다. 이에 반해 2안은 굴착량은 최소화하지만 주터널 천단부 확공(MT-INT) 등 시공상 복잡함을 피할 수 없다. 다양한 검토 끝에 결국 2안으로 결정되었으며 효율적인 터널 확대 시공 방안을 마련하였다.
최종 결정된 단면에서 주 교차부에 대형 장비 등의 원활한 이동이 가능한지가 확인되어야 하므로, 현장 사용 장비 제원을 이용하여 회전반경 등 장비 이동성을 검토하여, 작업에 문제가 없는지를 최종 검증하였다(Fig. 9). 실제 구조물 시공 등으로 더 큰 크기의 특수 장비가 필요한 경우에는 비상 계획으로써 교차부 모따기(chamfering) 등을 계획하였다.
3.2 지보 설계
임시 우회터널은 공기 단축을 위해 계획되었으므로, 기존의 설계 내용 및 계획 기준에 기초하여 최소한의 노력으로 설계 및 검증하는 것이 효율적일 것이다. 실시 설계 당시에도 횡갱과 본선터널(CJ), 본선터널과 피난연락갱 사이(MX)에 많은 추가보강을 적용한 교차부 지보 패턴이 이미 설계 검증이 완료된 상황이었다. 기본적으로 우회터널의 단면 크기가 더 작으므로 이 지보패턴들을 활용할 수 있으면 보수적인 관점에서 문제가 없을 것으로 평가되었으며, 지보 설계 개념을 Fig. 10에 제시하였다.
즉, 교차부가 아닌 경우에는 우회터널의 경우 이보다 큰 단면인 공사용터널의 원래 지보패턴인 CT의 지보패턴을 사용하고, 본선터널 사이의 교차부는 길이가 짧으므로 전 구간 교차부 패턴을 사용하였다. 교차부의 추가보강 범위는 기존 20 × 20 m에서 30 × 30 m로 확대하였다(Fig. 10).
이러한 지보설계법에 따라 최종 결정된 전 구간의 지보패턴 예를 2등급을 기준으로 Fig. 11에 나타내었다. 록볼트 간격과 길이를 일반 구간에 비해 상당히 많은 보강을 적용하였으며, 숏크리트 두께 역시 증가시켰다.
한 가지 유의할 사항은 Table 2에서와 같이 기존 설계에는 5, 6등급까지 존재하여 토사와 유사한 경우에까지 지보등급이 정의되어 있으나, 우회터널의 목적상 암질이 좋지 않은 경우는 고려하지 않고 4등급까지만 지정하였다. 따라서 매우 불량한 지반과 조우하지 않도록 시공시 적극적인 선진 막장 조사(probing)를 수행하여 미리 지반상태를 판단하였다.
4. 교차부 안정성 평가 및 수치해석
3.2절에서 설명한 바와 같이 기존 설계 내용에 근거하여 가장 보수적인 관점에서 교차부 포함 지보 설계를 적용하였으므로 기존 설계에 오류가 없는 이상 큰 문제가 되지 않을 것이다. 따라서 일반적으로 실시설계시 검토되는 다양한 조건하에서의 교차부 안정성을 3차원 해석 등으로 상세하게 검토할 필요는 없다.
하지만 최소한 설계된 지반 조건하에서 신속하고 효율적으로 교차부의 안정성에 큰 문제가 없는지를 검토할 필요가 있다. 이를 위해 다음의 기존 사례 자료와 경험적 방법을 활용하여 다음과 같이 검토하였다.
4.1 교차부 안정성 평가
Hsiao et al. (2009)은 교차부 안정성 평가를 위해 암반 강도와 현지응력 비율과 터널 천단 침하의 관계를 다양한 공사용터널과 주터널 교차 조건에 따라 방대한 수치해석을 실시하였다. 이 결과를 바탕으로 Sakurai (1993)에 의해 최초로 제시된 한계 변형률 개념에 근거하여 경험적 안정성 평가 기준에 적용하였다. 비록 이러한 침하치가 본 현장과 완전히 일치하지는 않지만, 현재 설계 암반 조건하에 지보 등급이 적절한지에 대한 판단기준을 줄 수 있을 것이다. 암반 응력 강도 비(Strength/Stress ratio, σcm/P0)에서 σcm은 Hoek-Brown 기준(Hoek and Brown, 1997)으로부터 추정한 암반의 일축압축강도이고 P0는 상재하중에 기초한 현지응력이다. 이 암반 응력 강도비는 터널 거동에 결정적인 영향을 주는 것으로 밝혀졌다(Chern et al., 1998; Hoek and Marinos, 2000). Hsiao et al. (2009)에 따르면 교차부의 천단 침하는 Fig. 12에서와 같이 응력 강도비가 감소함에 따라 증가하는 것으로 규명되었다.

Fig. 12.
Settlement assessment of tunnel intersections according to the rock mass strength/stress ratio (After Hsiao et al., 2009)
결정된 지보 등급에 해당하는 암반의 교차부 안정성을 평가하기 위해 Generalized Hoek Brown 기준에 의하여 각 지보 등급 별로 암반의 일축 압축강도를 추정하였다(Table 3). 이 값과 Fig. 12를 활용하여 교차각이 직각인 경우 각 지보등급별로 추정된 천단 침하 값을 Table 4에 제시하였다.
추정된 값들은 각 지보등급의 경계 값이므로, 각 지보 등급에서 최저 값으로 간주될 수 있다. 대부분의 등급에서 양호한 상태로 변위가 50 mm 이하로 나타나서 안정성에 큰 문제가 없으나 Bypass 1의 3등급과 4등급의 경우 최대 60–125 mm까지 발생하여 안정성에 문제가 될 수 있는 것으로 평가되었다. 추정된 천단 침하가 Bypass 1 굴착시 교차부에서 가장 크게 보인 이유는 상당히 큰 상재하중의 영향이다.
Table 3.
Estimation of rock mass strengths for representative parameters in Table 2
Table 4.
Estimated values of roof settlements using numerical analysis database from Hsiao et al. (2009)
| Location | Unit | Bypass 1 | Bypass 2 | Bypass 3 |
| Average depth | m | 300 | 200 | 100 |
| Field stress (P0) | (P0) MPa | 8.1 | 5.4 | 2.2 |
| Support Class 2 (1 < Q < 6) | σcm (MPa) | 4.1 | 4.1 | 3.3 |
| σcm/P0 | 0.51 | 0.76 | 1.51 | |
| Estimated roof settlement | δa (mm) | 45 | 35 | 10 |
| δm (mm) | 30 | 25 | 10 | |
| Support Class 3 (0.4 < Q < 1) | σcm (MPa) | 3.1 | 3.1 | 2.2 |
| σcm /P0 | 0.38 | 0.57 | 1.02 | |
| Estimated roof settlement | δa (mm)* | 60 | 40 | 20 |
| δm (mm)** | 50 | 27 | 15 | |
| Support Class 4 (0.1 < Q < 0.4) | σcm (MPa) | 2.0 | 2.0 | 1.3 |
| σcm/P0 | 0.25 | 0.37 | 0.60 | |
| Estimated roof settlement | δa (mm) | 125 | 60 | 30 |
| δm (mm) | 95 | 50 | 20 |
Fig. 12에서 볼 수 있듯이, 천단 침하는 σcm/P0비가 0.5 이하가 되면 급격하게 떨어진다. 이 강도 감소비는 본 평가 방법의 암질을 설명하는 중요한 지수이다.
터널 변형에 대한 교차각의 영향을 추정하기 위해서 교차에 의한 추가 천단 침하(Δδm/δm0, Δδa/δa0)와 교차각의 관계를 Fig. 13에 도시하였다. 30° 교차시에 추가 천단 침하는 60°와 90°일 경우에 비해 현저하게 크다. 게다가 이러한 증가 경향은 모든 교차각에서 암반 강도/응력 비가 0.5 이하일 경우 보다 뚜렷하다.
어느 정도 안정성에 문제가 될 가능성이 있는 Bypass 1에서 지보패턴이 3등급인 경우에 응력 강도비가 0.38이므로 이 때 교차각에 따른 안정성 정도를 평가할 수 있는 기준을 Fig. 14에 도시하였다. 즉 이 경우 Bypass 1의 지보패턴 3등급의 경우 교차각이 45도 이하의 경우에는 심각한 영향을 줄 수 있으나 현 설계가 직각 교차이므로 영향을 거의 받지 않는다고 평가할 수 있다.
따라서 Bypass 1과 비슷한 암반 지보 등급으로 약간 추가 보강으로 충분히 안정성 확보가 가능할 것으로 평가되며, 이미 실시 설계시 충분한 안전율로 고려된 교차부 지보량을 고려할 때 문제가 없을 것으로 보인다. 지보패턴이 4등급 이하인 경우 σcm/P0가 0.5 이하로 매우 급격하게 떨어지므로 교차부 안정성에 불확실성이 존재할 수 있다고 판단된다.
이러한 교차부 안정성 분석 결과에 기초하여 Sakurai (1993)에 의해 제안된 경험적인 안전성 평가 기준과 타이완의 절리 암반에 Chern et al. (1998)에 의해 성공적으로 적용된 방법을 사용하여 전반적 터널 안전성을 평가하였다. 이는 터널 천단부 변형률(εc)과 암반의 일축압축강도(σcm)의 관계로부터 도출된 3개 구간의 위험 수준 I, II, III에 대해 터널 안전성을 평가하는 경험적 기준이다.
통상적으로 위험 수준 II 이하에 위치할 때 안정한 상태로 평가할 수 있으며, 위험 수준 III 이상의 경우에는 심각한 변형과 지보 손상이 발생 가능하다. 위험수준 II와 III 사이는 전이 지대로서, 어떤 경우에는 안정할 수도 있지만 약간의 지보 손상이 발생할 수 있다.
Fig. 15는 각 지보등급 별로 각 대표 암반의 추정된 천단 침하 값을 사용하여 이 위험 수준을 추정한 결과를 나타낸다.
지보 3등급까지는 대부분의 우회터널 교차부는 Bypass 1의 일부분이 위험 수준 II 위에 존재하는 것 이외에 안정한 것으로 평가되었다.
Bypass 3 퇴적암 지대는 기본적으로 다른 구역보다 모든 경우에 안정하게 나타났는데 이는 100 m 정도의 낮은 상재하중이 작용하기 때문이다. 하지만 Bypass 1의 지보 4등급 이하에서는 위험 수준 III을 초과하며 5등급에서는 매우 불안정할 것으로 예측되었다.
터널 교차부의 지보설계는 통상 3가지 종류의 설계 원리가 적용된다.
(1) 숏크리트 두께와 록볼트 갯수 증가와 같이 교차부에 국부적인 보강만을 증대시킨다.
(2) 교차부와 일반 구간의 차이가 없이 설계하지만 단지 Q 값 자체를 교차부 영향을 고려하여 지보 등급을 하향시켜 적용한다. 예를 들어 Q 값을 터널 교차부에서 기존 값의 1/3의 값으로 고려한다.
(3) 교차부에 보다 많은 보강 설계를 직접적으로 적용한다. 즉, 3등급 암반일 경우에 4등급 지보를 적용한다.
임시 우회터널 설계를 위해 이미 본설계에서 많은 보강이 추가된 패턴(MX, CJ)들을 적용하였으므로, 그 이상의 추가 보강은 고려될 필요가 없으나, 일반 1–4등급의 암반에서 만일 실제 굴착시 이상 현상이 발생하거나 안정성에 의구심이 있는 경우에는 (1)과 같이 국부 보강으로 대처 가능하다고 판단되었다.
4.2 3차원 경계요소 해석
위 방법을 사용하여 기본적인 교차부 안정성을 평가하였으나, 교차부의 일반적인 거동을 다시 확인하고자 다양한 조건에서 수치해석을 실시하였다. 수치해석은 3차원 경계요소 프로그램인 Rocscience사 EX-3 (Rocscience Inc., 2023)를 사용하였으며, 교차부를 Fig. 16과 같이 표면 요소로 모델링하였다. 이러한 경계요소 해석은 복잡한 3차원 형상이라도 상대적으로 적은 개수의 요소만으로 쉽게 모델링이 가능하므로 매우 편리하고 계산속도도 절약된다.
암반의 측압계수는 K = 0.5, 1.0, 1.5 세 가지 경우로 하였으며, 상재하중이 가장 큰 CT1 교차부를 대상으로 하여 Table 2와 같이 각 지보 등급별 암반 정수를 적용하였다.
Table 5는 다양한 조건과 굴착 단계에 따른 총 변위량을 정리한 것이다. CT-BP 교차부는 암반 등급 2–5에 대해 최대 22–78 mm의 범위를 보였으며 MT-BP 교차부의 경우 27–110 mm의 범위를 보였다. 이러한 범위는 앞서 Table 4에서 구한 천단 침하와 상당한 유사한 경향을 보였다. 또한 CT1 및 우회터널 교차부 실제 변위 측정 결과는 10–35 mm 정도로 나타났는데, 이는 교차부가 대부분 암질이 1–2등급으로서 실측치와도 상당히 일치하였다.
Table 5.
Displacement for different excavation stages and stress ratio from numerical modelling
Fig. 17은 Q = 0.4 (class 3)일 경우에 서로 다른 현지 응력에 대한 총 변위 값을 보여준다. 따라서 전반적인 터널 변형은 교차부 일부 지역을 제외하고는 해석 모델과 유사한 경향을 보일 것으로 예측된다.
Fig. 18은 CT-BP 모델 K = 0.5, Q = 0.4의 경우의 전형적인 응력 분포를 보여준다. 대표 암반 물성에 의해 각 등급별로 Generalized Hoek-Brown 모델의 파괴 포락선을 Fig. 19와 같이 구할 수 있으며, 모델링 결과로부터 구한 주응력 범위를 포락선에 표시하였다.
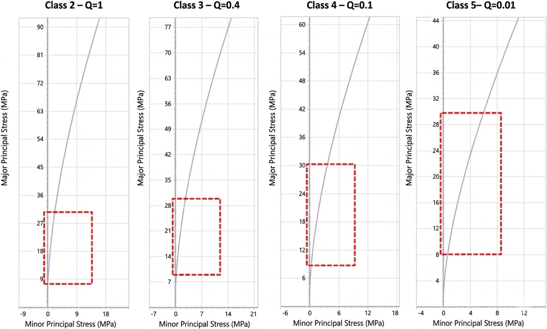
이 범위에서 확인할 수 있듯이, 거의 모든 등급에서 상당히 안정한 구역 내에 위치함을 알 수 있으나 암질 5등급의 경우에는 불안정한 구간도 다수 발생 가능함을 보여준다. 실제 암반 조사 결과는 이러한 5등급 암반은 없는 것으로 확인되었다. 하지만, 교차부에서 주로 발생한 국소적인 인장영역은 유의할 필요가 있다. 이 모델링에서는 지보가 직접적으로 고려되지 않았으므로 이러한 인장영역은 실제 조건에서는 최소화될 수 있을 것으로 판단된다. 그리고 일부 교차부 지역은 매우 작은 최소 주응력이 발생하였고, 교차부에 인장영역이 뚜렷하게 발생하였다. 따라서 이 구간은 거의 일축압축 상태에 가깝다고 판단된다.
상세한 3차원 수치해석을 통한 주요 확인 사항은 다음과 같다.
• 지보패턴 4등급까지의 암반 조건에서 대부분의 구간은 안정하며, 일부 교차부의 구간만 큰 값을 보였다. 교차부의 일부 인장 및 응력집중이 발생하는 위치는 터널 분기 이전의 사전 보강으로 방지할 수 있다.
• 응력집중이 발생된 위치는 대부분 터널 벽면으로부터 2–3 m 안쪽 이내에 국한되었다.
• 30 m × 30 m의 교차부 보강 영역 지정이 해석 결과를 통해 충분히 타당함을 확인할 수 있었다.
• MT1이나 MT2의 굴착순서는 주변 굴착영역에 크게 영향을 주지 않았지만 두 터널이 동시에 분기되는 경우에는 어느 정도 변위와 응력 증가에 영향을 주었다.
5. 결 론
본 연구는 해외 장대 고속철도 터널 현장의 공기 단축을 목적으로 수행된 임시 우회터널의 신속 설계 사례를 다루었으며, 특히 구조적 취약 부위인 교차부의 안정성 평가 방법론과 그 효율성을 실증하였다. 연구를 통해 도출된 주요 결론은 다음과 같다.
1. 노선 선정 및 시공 효율성 최적화: 공기 단축을 최우선으로 하여 터널 연장에 따른 다각적인 노선 대안을 검토하였다. 지반의 안정성, 공사비용, 시공 편의성을 종합적으로 분석한 결과, 기존 교차 공동 인근을 통과하는 최적 노선을 선정함으로써 시공 효율을 극대화하였다.
2. 전 프로젝트 기간을 고려한 친환경 복원 계획: 임시 터널의 목적 완료 후 지반 환경의 원상 복원을 위해 콘크리트 플러그, 저강도 되메움재, 유동화 충전재를 혼용한 단계별 복원 시나리오를 수립하였다. 이는 지하수 흐름 차단 및 주변 지반 안정성을 동시에 확보하는 친환경적 폐쇄 공법으로서의 유효성을 가진다.
3. 단면 설계 및 교차부 진입 전략 수립: 경제성과 시공성을 동시에 충족하는 최적 표준 단면을 설계하였으며, 주 터널과의 교차부 진입 시 간섭 및 작업 동선을 사전 검토하여 시공 단계에서 발생 가능한 병목 현상을 최소화하였다.
4. 보수적 접근을 통한 신속 지보 설계: 긴급한 현장 여건을 반영하여, 기존 설계에서 검증된 주 터널의 지보 패턴을 상대적으로 소단면인 우회터널에 보수적으로 적용하였다. 이를 통해 별도의 복잡한 설계 과정 없이 안전성이 확보된 지보 체계를 신속하게 구축할 수 있었다.
5. 한계 변형률 기반의 효율적 안정성 평가: 교차부의 안정성 평가는 3차원 수치해석 데이터베이스와 한계 변형률 개념을 결합한 경험적 평가 기준을 활용하였다. 이를 통해 각 지보 등급별 안정성을 정량적이고 신속하게 평가할 수 있는 체계를 마련하였다.
6. 교차부 구간별 안정성 검토: 대심도 구간인 CT1의 암질 불량 구간(3등급 이하)에서 국부적인 불안정 가능성이 추정되었으나, 그 외 대부분의 구간은 현재 적용된 교차부 지보 공법으로 충분한 제어력을 확보할 수 있는 것으로 분석되었다.
7. 3차원 경계요소법을 통한 정밀 검증: 가장 취약한 설계 조건을 가진 CT1 지역 교차부에 대해 3차원 경계요소 수치해석을 실시하여 변위 발생 양상 및 응력 집중 현상을 정밀 검토하였다. 분석 결과, 일부 인장 응력 집중 구역에 대해서는 사전 보강(Pre-reinforcement) 조치만으로도 충분한 구조적 안정성 확보가 가능함을 확인하였다.
본 연구에서 제시한 기존 설계 데이터베이스를 활용한 터널의 신속 설계 및 경험적 안정성 평가 프로세스는 실제 성공적인 시공을 통해 그 타당성이 입증되었다. 본 사례는 향후 유사한 대규모 지하 공간 개발 및 공사용 터널 건설 시 공기 단축과 안전성을 동시에 확보할 수 있는 사례로 활용될 것으로 기대된다.























