1. 서 론
국토의 70%가 산악지형으로 이루어진 국내의 지형적 특성으로 통행효율을 증가시키기 위해 터널은 매년 건설되고 있으며, 터널의 굴착과 시공방법의 발전으로 도로터널은 대단면 장대화 되고 있다. 국내 도로터널 수는 2015년부터 2019년까지 지속적으로 증가하고 있으며, 2019년 12월 기준으로 2,641개소(튜브 수 기준)가 건설되었다. 터널연장등급에 따라 1등급(3,000 m 이상)터널은 64개소로 전체의 2.4%에 해당하며, 2등급(1,000 m 이상~3,000 m 미만)터널은 503개소로 19.0%, 3등급(500 m 이상~1,000 m 미만)터널은 850개로 32.2%, 4등급(500 m 미만)터널은 1,224개소로 46.3% 분포하고 있다. 제연설비가 필수적으로 설치되는 연장 2등급 이상의 터널은 전체 도로터널의 21.4% 이다(Ministry of Land, Infrastructure and Transport, 2021). 도로터널의 수가 증가하고 연장이 길어짐에 따라 터널 이용객의 터널 체류시간이 증가할 수 있다. 체류시간이 증가하게 되면 화재 등의 긴급상황 발생 시 외부 소방대의 투입시간 및 터널 내부 이용객의 피난시간 증대와 같이 인적 ‧ 물적 피해가 증가할 수 있다.
국내의 경우 “도로터널설계 편람 제6편 터널”과 “도로터널 방재 ‧ 환기시설 설치 및 관리지침” 등에서 도로터널 내 방재시설에 대한 기준을 마련하여 관리하고 있다.
도로터널 제연방식 중 종류식 방식은 외부의 신선 공기를 터널 입 ‧ 출구를 통해 내부로 유도하는 방식이기 때문에 제연성능은 외부의 환경에 많은 영향을 받을 수 있다. ‘도로설계편람 제6편 터널(2011)’에서는 일반적인 터널의 경우 외부 자연풍의 풍속을 2.5 m/s로 적용하도록 하고 있으며, 예외적인 경우 터널의 입지조건, 지형, 기상조건, 터널 특성을 고려하여 자연환기력과 유입풍속을 추정하여 이를 설계하도록 하고 있다. 그러나 국내 도로터널 설계 시 일반적인 조건으로 외부자연풍 유입풍속 2.5 m/s만 적용하고 있다(Ministry of Land, Infrastructure and Transport, 2011). 기상청의 예측을 통해 강풍 주의보나 경보를 발표하고 있지만, 태풍 발생 시 강풍과 호우를 포괄하여 태풍 주의보나 경보를 발표한다. 재해의 빈도가 높은 호우 및 태풍에 대한 연구는 지속적으로 이루어지는 반면 강풍 및 돌풍에 대한 연구는 발생 빈도나 피해규모의 이유로 상대적 연구가 부족하다.
Suban et al. (2015)은 Petkovšek (1987)의 선행연구에서 정립한 Bora 돌풍의 패턴을 재정의하였으며, 이를 바탕으로 슬로베니아에 있는 Kastelec 터널을 대상으로 터널 내 화재가 발생했을 때 Bora 돌풍에 의한 화재연기의 역류에 대해 수치해석 하였다. Kim et al. (2014a)은 대면통행 터널에 대한 자연환기에 대한 결정기준 및 제트팬 용량 검토기준이 명확하게 정립되지 못한 이유로 1 km 미만의 터널에 대한 기계환기 여부 및 용량산정에 있어 혼선이 있음을 지적하고, 자연환기량의 특성과 최근 진행 중인 대면통행 터널의 환기설계 기법을 크게 2가지로 분류하여 분석했다. Lee et al. (2009)은 국내 최장대 터널인 인제터널의 외부풍압에 의한 최대 가능 자연환기력을 예측하기 위해 양 갱구의 기압차 측정방법, 피스톤효과에 의한 영향을 제거하는 방법, 기압장벽고 방법을 적용하였다. Kim et al. (2014b)은 터널의 환기와 방재에 적용하는 자연환기력을 정량화 하는 방법에 대해 연구했으며, Lee (2013)는 실제터널을 대상으로 외부자연풍이 터널연장, 종단경사, 갱문형식 등의 터널조건에 따라 터널 내 환기저항에 미치는 영향을 3차원 전산유체역학(computational fluid dynamics)기법을 이용하여 비교 ‧ 분석하였으며, 또한, 터널축소모형을 이용한 풍동실험으로 3차원 수치해석 프로그램의 검증을 수행하였다.
이처럼 국외에서는 외부자연풍이 터널방재에 미치는 영향을 연구하고 있지만, 국내에서는 주로 환기시스템을 설계할 때 필요한 인자를 검토하거나 외부자연풍이 터널 내부에 작용할 때, 풍속 크기 추정 위주로 진행되고 있어 도로터널의 방재 측면에 관한 연구가 필요하다.
따라서 본 연구에서는 Suban et al. (2015)이 제시한 Bora 돌풍 패턴에 국내 대관령 지역의 풍속 데이터를 적용하여 돌풍의 크기와 패턴을 가정하였으며, 기존 도로터널 제연설비 설계 방식에 따라 설계된 터널에서 20 MW 급 화재가 발생했을 때 가정한 돌풍에 의한 터널 내 풍속과 화재연기의 역류거리를 분석했다.
2. 돌풍의 최대 풍속분석 및 패턴정의
터널에 작용하는 돌풍의 최대풍속을 분석하기 위해 국내 기상청 자동기상관측자료 중 대관령 지역의 2015년부터 2020년까지 최근 6년간 매분 풍향과 풍속을 분석했다.
데이터 취득 결과, 대관령 지역에서 5분간 평균풍속이 10 m/s 이상으로 분 일수는 전체의 15.8%에 해당하는 345일이고, 15 m/s 이상으로 분 일수는 1%에 해당하는 21일이다. 5분 이상 지속된 바람 중 가장 큰 값을 나타낸 풍속은 2016년 5월에 분 20.7 m/s이다.
대관령 지역에서 5분간 평균풍속이 10 m/s 이상으로 불 때 풍향을 Fig. 1과 Table 1에 나타내었다. 바람장미(Wind rose diagram) 분석 결과 전체의 84%가 서풍, 13%가 서남서풍으로 서쪽에서 동쪽으로 부는 바람이 강하게 부는 것으로 분석됐다(Korea Meteorological Administration, 2021).
Table 1.
Wind direction ratio in Daegwallyeong
| Direction | N | NNE | NE | ENE | E | ESE | SE | SSE | S | SSW | SW | WSW | W | WNW | NW | NNW |
| Ratio (%) | 0 | 0 | 0 | 0 | 0 | 1 | 0 | 0 | 0 | 0 | 0 | 13 | 84 | 2 | 0 | 0 |
대관령 지역의 터널은 태백산맥을 중심으로 영동지방과 영서지방을 연결하기 위해 설치되어 있다. 따라서 터널의 입 ‧ 출구 방향과 외부자연풍의 풍향이 유사하기 때문에 돌풍의 방향이 차량의 진행방향과 반대가 되어 제트팬 승압력에 저항으로 작용한다.
Petkovšek (1987)은 기상관측장비를 이용하여 슬로베니아 산간지역에서 발생하는 돌풍 Bora에 돌풍 패턴을 Fig. 2와 같이 분석했다. 이 후 Aleš Suban 등은 Zdravko Petkovšek의 선행연구에서 분석한 Bora의 패턴을 다음과 같이 재정의 했으며, 본 연구에서도 Aleš Suban 등이 제시한 돌풍의 패턴을 사용하였다.
① 돌풍이 최저풍속에서 최고풍속까지 도달하는 데 걸리는 시간은 1초 이내이다.
② 최고풍속의 돌풍은 10초간 지속되며, 이후 18초 동안 최고풍속의 83%로 감소한다.
③ 10초 동안 최고풍속의 66%로 감소한다.
④ 2초 동안 최고풍속의 27%로 감소하며 이후 돌풍은 돌풍 이전 풍속으로 돌아간다.
3. 수치 해석
3.1 수치해석 대상
본 연구의 수치해석 대상터널의 제원은 도로터널 설계편람 제6편 터널에서 환기용량 및 제연용량 계산 시 표준으로 제시하는 제원으로, 국내 고속도로 2차선 산악터널에 주로 사용되고 있으며, 자세한 터널의 제원은 Table 2에 나타내었다.
Table 2.
Numerical analysis target and specifications
| Category | Value |
| Length (m) | 1,000 |
| Diameter (m) | 8.8 |
| Area (m2) | 75 |
| Traffic lane | 2 |
| Grade (%) | 0 |
대상터널은 Fig. 3에 표시한 바와 같이 연장은 1,000 m이고, 내공단면적은 75 m2이다. 대표직경은 8.8 m이고, 열부력 등 제연성능에 미칠 수 있는 인자를 제외하고 순수 돌풍에 의한 영향만을 분석하기 위해 터널의 종단구배는 0%로 가정했다.
터널 내 화재차량은 터널 중앙부에 위치한다. 한국도로공사의 “도로터널 제트팬 산정기준”에 따라 차량종류는 버스로 하였으며, 제원은 길이 10.77 m, 폭 2.45 m, 높이 3.12 m이다 . 또한 수치해석에서 화재 경계조건을 부여하기 위해 별도의 화원영역을 화재차량 좌 ‧ 우에 각각 폭 1 m만큼 지정했다.
3.2 수치해석 종류
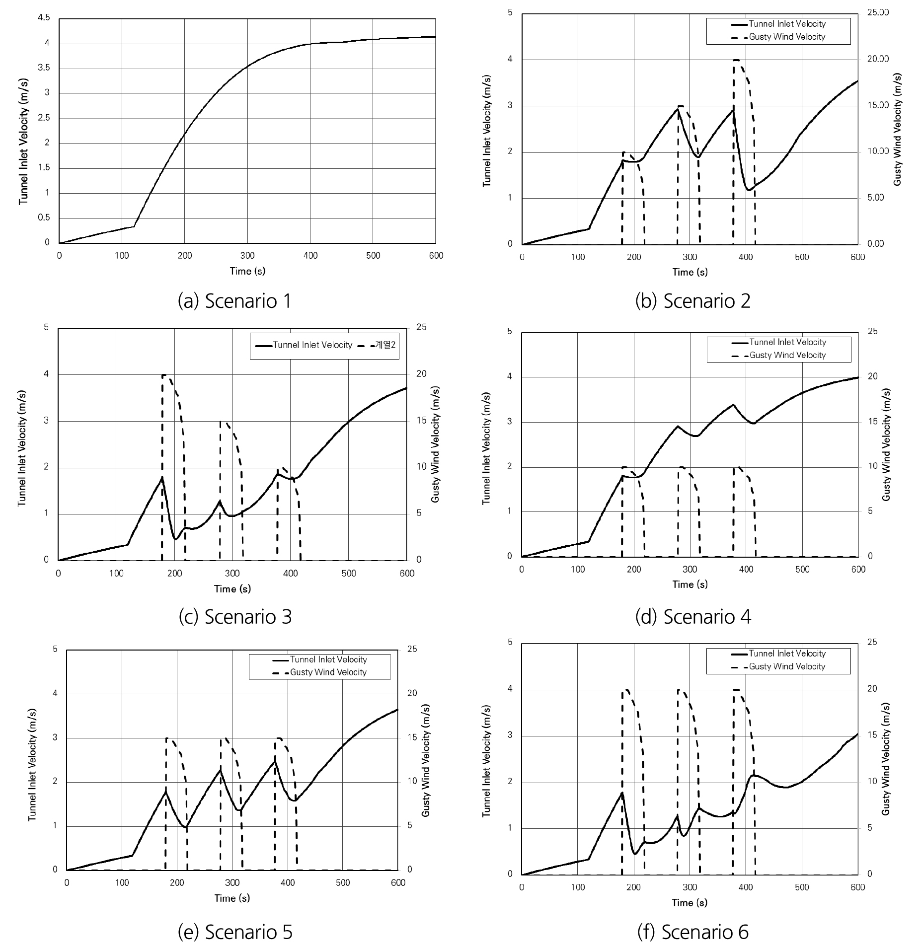
본 연구에서 적용한 시나리오는 다음과 같다. 터널을 주행 중이던 버스차량이 터널 출구부로부터 500 m 떨어진 지점에서 정비불량으로 인한 엔진화재가 발생한다. 화재발생 120초 후 제트팬의 가동이 시작되며, 화재발생 180초 후 터널 진행 반대 방향으로부터 외부의 돌풍이 터널 내부로 유입된다.
위의 화재시나리오를 바탕으로 Fig. 4와 Table 3에 표시한 바와 같이 돌풍의 크기와 패턴에 따라 총 6가지의 경우를 정의했다. 돌풍의 패턴은 Suban et al. (2015)이 제시한 돌풍 패턴을 적용하였다.
시나리오 1은 대상터널에서 화재가 발생했을 때 정상적으로 제연이 되는 대조군으로서 화재시나리오에 따라 화재발생 120초 후 터널 내 제트팬이 가동하여 화재연기를 제연하는 해석이다. 시나리오 2는 시나리오 1과 같은 조건에서 화재발생 180초 후 터널 출구부에서 입구부 방향으로 돌풍이 부는 조건이다. 이때 돌풍의 패턴은 Bora 돌풍 패턴과 같으며, 각 돌풍의 최고 풍속은 10 m/s, 15 m/s, 20 m/s로 적용한 해석이다. 시나리오 3은 시나리오 2와 돌풍의 전체 평균풍속은 같지만 각 돌풍의 최고풍속이 20 m/s, 15 m/s, 10 m/s 순으로 시나리오 2와 반대로 적용한다. 시나리오 4~6은 시나리오 2와 같은 조건에서 돌풍의 최대풍속을 변화하여 해석했다.
Table 3.
Types of analysis
3.3 경계조건
수치해석에서 적용한 경계조건의 개요도를 Fig. 5에 나타냈다. 경계조건은 압력, 온도, 밀도, 속도, 벽면의 특성, 농도 등으로 정의할 수 있다. 터널의 입구와 출구인 P1과 P2에는 각각 압력조건을 적용하였으며, 화원에는 시간에 따른 발열량과 일산화탄소 발생량을 적용했다. 바닥과 벽면의 유동은 점착조건, 온도는 단열조건, 농도는 Zero Flux를 적용했다. P1은 터널의 시작점에 가해지는 압력으로 터널 내 모든 팬이 일으키는 승압력에서 터널 벽면마찰손실을 뺀 값이다. 일반적인 국내 도로터널 설계 방법에 따라 설계된 터널에서 돌풍이 저항으로 작용하는 것을 가정하여 제트팬 대수와 P1에 적용할 승압력을 계산했다.
“도로터널설계 편람 제6편 터널”에서 제시하는 식과 인자를 적용하여 해당 터널의 필요승압력은 32.82 Pa로 계산됐으며, 제트팬 1대당 승압력은 16.53 Pa로 계산됐다. 따라서 대상터널에 필요한 제트팬은 1.97대로 계산되었고, 소숫점 첫째자리에서 올림하여 2대에 해당하는 33.06 Pa를 P1에 적용했다.
시간에 따른 화재발열량과 연기발생량은 Fig. 6과 Fig. 7에 나타내었으며, 돌풍이 터널에 작용할 때 화재연기의 역류거리를 분석하기 위하여 자연풍이 없는 Scenario 1을 대조군으로 하였으며, 시나리오에 따른 P1과 P2를 Fig. 8에 나타냈다.
3.4 해석결과
3.4.1 터널 내 유입풍속 분석
각 시나리오 별 시간에 따른 터널 내 유입풍속을 Fig. 9에 나타내었다. 화재발생 180초 이전까지는 제트팬에 의한 승압력만 터널에 작용하므로 모든 시나리오에서 화재발생 120초후부터 제트팬의 승압력에 의해 터널 내 유입풍속은 급격히 상승한다.
시나리오 1의 경우, 화재발생 211초 후 신선한 공기의 터널 내 유입풍속은 임계풍속 이상이 되며, 전체 해석시간 동안의 평균 유입풍속은 2.71 m/s로 나타났다.
시나리오 2의 경우, 제트팬에 의해 터널로 유입되는 신선한 공기의 풍속은 화재발생 180초, 279초, 378초 후 발생하는 돌풍에 의해 유지되거나 감소하는 모습을 볼 수 있다. 최대 풍속이 10 m/s인 돌풍이 불 때, 터널의 유입풍속은 제트팬 승압력에 의해 증가하거나 돌풍에 의해 감소하지 않고 유지되는 것으로 나타났으며, 최대풍속이 15 m/s, 20 m/s인 돌풍이 불 때, 터널의 유입풍속은 임계풍속 미만으로 풍속이 낮아지는 것으로 나타났다. 전체 해석시간 동안의 평균 유입풍속은 1.77 m/s로 나타났다.
시나리오 3의 경우, 전체 해석시간 동안 평균 유입풍속은 1.52 m/s이며, 돌풍의 평균풍속이 2.58 m/s로 같은 시나리오 2보다 약 14% 작게 나타났다.
시나리오 4의 평균 유입풍속은 2.31 m/s이며, 화재발생 180초, 279초, 378초 후 발생하는 돌풍에 의해 유입풍속이 감소한다. 첫 번째 돌풍이 불 때 유입풍속은 0.04 m/s 감소하였고, 두 번째 풍속이 불 때 0.21 m/s의 유입 풍속이 감소하였으며, 세 번째 돌풍이 불 때 0.35 m/s의 유입풍속감소가 나타났다. 터널 내 유입풍속이 임계풍속 이상이 되는 시점은 화재발생 246초 후로 나타났다.
시나리오 5의 평균 유입풍속은 1.52 m/s로 나타났으며, 돌풍의 평균풍속이 2.58 m/s로 같은 시나리오 3과 같고 시나리오 2보다 약 14% 작게 나타났다. 터널 내 유입풍속이 임계풍속 이상이 되는 최초 시점은 화재발생 372초 후이지만 세 번째 돌풍에 의해 풍속이 감소하며, 화재발생 469초 이후 임계풍속 이상의 터널 유입풍속을 유지하는 것으로 나타났다.
시나리오 6의 평균 유입풍속은 1.30 m/s로 전체 시나리오 중 가장 낮게 나타났으며, 터널 내 유입풍속이 임계풍속 이상이 되는 시간은 화재발생 540초로 나타났다.
3.4.2 화재연기 확산거리 분석
각 시나리오별 화재로부터 발생하는 100 ppm 이상의 일산화탄소가 시간에 따라 확산하는 거리를 Fig. 10에 나타내었다.
시나리오 1의 경우, 화재발생 이후 입구 방향으로 역류하던 화재연기는 화재발생 150초 후 확산을 멈추며, 역류거리가 점차 감소하여 화재발생 200초에는 터널 출구방향으로 화재연기가 완전히 제연되는 것으로 분석됐다.
시나리오 2의 경우, 2번째 돌풍까지는 제트팬의 승압력에 의해 화재연기의 확산은 나타나지 않는 것으로 분석됐으며, 3번째 돌풍으로 터널 내 유입풍속이 임계풍속보다 낮아지자 화재연기의 역류가 발생하는 것으로 나타났다. 터널 내 풍속이 임계풍속 이상으로 상승하는 화재발생 500초 이후 역류거리는 점차 감소하여 화재발생 600초 후에는 역류를 하지 않는 것으로 나타났다.
시나리오 3의 경우, 첫 번째 돌풍 이후 화재연기는 지속적으로 역류하였으며, 최대 역류거리는 185 m로 나타났다. 화재연기의 역류는 3번째 돌풍이 분 이후 제트팬 승압력에 의해 터널 내 유입 풍속이 상승하여 감소하는 것을 볼 수 있다.
시나리오 4의 경우, 최대풍속 10 m/s의 돌풍이 불지만 임계풍속 이상의 풍속이 확보되어 화재연기가 역류하지 않는 것으로 분석됐다.
시나리오 5의 경우, 돌풍의 풍속이 커질 때마다 화재연기는 역류하며, 최대 역류거리는 45 m로 나타났다. 화재연기의 역류는 3번째 돌풍이 분 이후 제트팬 승압력에 의해 터널 내 유입 풍속이 상승하여 감소하는 것을 볼 수 있다.
시나리오6의 경우, 돌풍에 의해 역류하는 화재연기는 화재발생 485초까지 역류하며 이때, 최대 역류거리는 490 m로 나타났다.
4. 결 론
본 연구에서는 돌풍이 도로터널에 제연성능에 미치는 영향을 분석하기 위해, 돌풍의 패턴은 Zdravko Petkovšek와 Aleš Suban 등이 제시한 Bora 돌풍 패턴을 도입했으며, 돌풍의 크기는 기상청 자동기상관측자료의 데이터를 이용했다.
최근 6년간 대관령 지역의 5분 평균풍속 데이터를 분석한 결과 5분 평균풍속이 10 m/s 이상 발생한 일 수는 15.8%에 해당하는 것으로 분석했으며, 15 m/s 이상의 풍속이 발생한 일수는 1%로 분석했다. 최대 풍속은 20 m/s 까지 측정되었으며, 풍속 10 m/s 이상 바람의 풍향은 84%가 서풍으로 분석됐다.
터널에 작용하는 돌풍의 크기가 15 m/s 이상인 경우 제트팬의 승압력보다 돌풍의 저항이 더 크게 작용하여 터널 내 풍속이 감소하는 것으로 분석됐다.
터널에 작용하는 돌풍의 평균풍속이 같더라도, 제트팬 승압력이 안정화되기 이전의 돌풍 풍속에 따라 화재연기의 역류거리가 다르게 나타나는 것으로 분석됐다. Bora 돌풍 패턴으로 돌풍의 풍속이 10 m/s 이하인 경우 화재연기의 역류가 발생하지 않았으며, 20 m/s 이상인 경우 화재연기가 최대 490 m 역류하는 것으로 분석됐다.
대관령 지역은 국내 도로터널 설계에서 적용하는 2.5 m/s의 자연풍보다 큰 최대 20 m/s의 돌풍이 측정되고, 있으므로 터널 이용객의 안전을 위해 실질적인 자연풍 적용이 필요하다.












