1. 서 론
2. 실험준비 및 방법
2.1 실험 시편의 준비
2.2 액·소성한계 시험 방법
2.3 일축압축강도 및 탄성계수 실험 방법
3. 실험 결과 및 분석
3.1 액·소성한계
3.2 일축압축강도 및 탄성계수
4. 결 론
1. 서 론
원자력 발전소 가동 후 발생하는 고준위 방사성 폐기물에 대한 처분 방안으로 심층 처분 터널이 고려되고 있다(Cha et al., 2023). 심층 처분 터널은 근계 및 원계 암반으로 구성된 천연 방벽(natural barriers) 및 완충재, 뒤채움재, 캐니스터(canister) 및 콘크리트 플러그(concrete plug)로 구성된 공학적 방벽(engineered barriers)으로 분류할 수 있다. 공학적 방벽의 설치는 심도 약 500 m 깊이의 암반에 뒤채움 터널 및 보어홀(bore hole) 굴착 후 내부에 캐니스터 및 완충재를 격납하는 절차를 통해 이루어진다. 이후, 뒤채움재는 보어홀 상부 뒤채움 터널에 격납된 후 콘크리트 플러그로 입구를 밀봉하여, 고준위 방사성 폐기물을 인간의 생활 권역에서 완전히 격리시키는 역할을 수행한다.
공학적 방벽 주변의 근계 암반 내 존재하는 절리를 통해 지하수가 처분시설 내 금속 캐니스터로 유입되는 경우 캐니스터에 부식 및 열화가 발생될 수 있으며, 이는 핵종 유출 등 심층 처분 터널의 장기 건전성을 저해할 수 있다. 공학적 방벽재 중 하나인 뒤채움재는 지하수 침투 시 팽윤하여 터널 내부를 충진시켜 지하수의 침투 및 방사성 핵종의 유출을 지연시키고 캐니스터 및 완충재를 보호하는 역할을 수행한다. 또한, 뒤채움재는 완충재의 체적 변형에 의한 밀도 변화 및 융기를 방지하여 완충재가 원활한 안전 기능을 수행할 수 있도록 한다. 이러한 뒤채움재의 후보 재료로서 팽윤 성능이 우수한 벤토나이트(bentonite)를 기반으로 규사 등을 혼합하여 사용하는 방안이 고려되고 있다(Ito and Komine, 2008). 벤토나이트 기반 혼합 재료를 활용하는 경우, 벤토나이트 단일 재료만을 활용할 때 발생할 수 있는 건조 수축, 동일 성형 압력 대비 낮은 건조밀도 형성, 높은 비용 등의 문제점을 해결할 수 있다(Srikanth and Mishra, 2016).
심층 처분 터널의 운영이 시작되면, 천연 방벽 내부 절리를 통해 지하수의 침투가 발생하고, 지하수의 유동 경로인 천연 방벽 내부 절리는 심지층 환경 특성상 고압, 습윤의 환경이 형성된다(Jeong, 2000). 고압, 습윤 환경 조건에서 화강암 내부 절리를 통해 지하수의 유동이 지속적으로 발생하는 경우 화강암 내부의 장석이 화학적 풍화 작용을 거쳐 카올리나이트(kaolinite) 등의 2차 풍화 광물이 형성되어 Fig. 1과 같이 지하수와 함께 뒤채움 터널 내부로 유입될 가능성이 있다(Begonha and Sequeira Braga, 2002; Kadir and Kart, 2009). 특히 국내의 경우, 화강암이 처분 부지의 천연 방벽 후보 암종으로 고려되고 있으므로 심층 처분 터널 운영 시 카올리나이트의 형성 및 공학적 방벽 내부로의 침투 현상 발생 가능성이 더욱 증가한다(Cheon et al., 2024).
뒤채움재 격납 방법은 과립 형태의 벤토나이트 펠렛(pellet) 및 그래눌라(granular)만을 충진시키는 방법과 블록 형태의 벤토나이트 혼합 뒤채움재를 배치한 후 펠렛 등을 이용하여 모암과 블록 사이의 공간을 충진시키는 방법의 두 가지 형태로 고려되고 있다(Autio et al., 2013; Posiva, 2021). 두 가지 방법 중 블록 형태의 벤토나이트 기반 혼합 뒤채움재를 활용하는 경우, 뒤채움 터널 내부에 존재하는 공극은 블록 및 펠렛의 포화를 통하여 충진된다. 그러나 포화 이전 초기 운영 단계에서 지하수와 함께 카올리나이트가 다량 침투하는 경우, 벤토나이트 및 카올리나이트의 물성 차이로 인해 뒤채움 터널 내부 뒤채움재의 전체 건조밀도가 변화한다. 특히, 카올리나이트는 벤토나이트에 비해 상대적으로 낮은 비표면적(specific surface area)과 활성도(activation)를 가진 비팽윤성 점토 광물로 분류되기 때문에 전체 건조밀도 변화뿐만 아니라 뒤채움재의 팽윤 및 역학적 성능에도 영향을 미칠 가능성이 존재한다(Horpibulsuk et al., 2011; Cao et al., 2024).
한편, 지하수의 침투로 인한 벤토나이트 기반 혼합 뒤채움재의 포화가 발생한 후, 심층 처분 시스템 캐니스터 내부의 방사성 핵종 붕괴열에 의해 뒤채움재의 건조가 발생하게 된다(Zhang et al., 2019). 심층 처분장은 방사성 폐기물의 방사능이 반감기를 거쳐 인체에 무해한 수준으로 감소할 때까지 운영이 되어야 하며 그 기간동안 뒤채움재의 성능 요건이 충족되어야 한다. 그러나, 벤토나이트 기반 혼합 뒤채움재의 포화 및 건조 과정 반복 역시 뒤채움 터널 내부 뒤채움재의 전체 건조 밀도를 변화시킬 수 있다. 이러한 전체 건조 밀도의 변화는 뒤채움재의 강도 특성에 크게 영향을 미친다(Balagosa et al., 2020). 카올리나이트 침투 상황에서의 뒤채움재 포화 이후 건조에 따른 건조밀도 변화 가능성에 대한 평가는 액성한계(liquid limit, LL) 및 소성한계(plastic limit, PL)와 같은 함수비 관련 기초 물성을 통하여 가능하다.
심층 처분 시스템 운영 중 벤토나이트 혼합 뒤채움재 재료의 원활한 기능 수행을 위한 성능 평가 기준으로 스웨덴 처분 관련 기업인 SKB (Svensk Kärnbränslehantering AB)에서는 설계 요구 조건(technical design requirement) 및 안전기능(safety function)을 제시한 바 있다(Posiva and SKB, 2017). 그러나 설계 요구 조건 및 안전기능은 심층 처분 시스템의 처분 환경을 고려한 뒤채움재의 팽윤압 및 수리전도도 물성만을 활용하여 제시되었다. 이러한 혼합 뒤채움재의 설계 요구 조건을 충족시키기 위한 팽윤 물성과 관련된 연구는 현재 전 세계적으로 활발하게 진행되고 있다(Komine, 2010; Zeng et al., 2021; Chen et al., 2022). 반면, 팽윤 물성과 달리 강도 특성을 포함한 역학적 물성의 경우, 완충재를 기준으로 캐니스터의 변형을 방지하기 위한 상한 기준치인 4 MPa의 강도 조건만이 제시되어 있을 뿐, 뒤채움재의 강도 특성과 관련된 명확한 하한 기준은 존재하지 않는 실정이다.
이러한 심층 처분 터널 운영 중 뒤채움재의 역학적 물성에 영향을 주는 요인으로는 완충재의 팽윤에 의해 발생하는 체적 변형에 대한 저항 및 벤토나이트 혼합 뒤채움재 블록의 자중에 의해 가해지는 하중이 고려될 수 있다. 완충재의 팽윤에 의해 뒤채움재에 발생하는 압력을 평가한 선행 연구에 따르면, Fig. 2와 같이 완충재의 팽윤에 의한 변위가 80 mm 발생할 때, 최대 1.8 MPa의 압력이 뒤채움재에 작용하는 것으로 보고된 바 있다(Sandén et al., 2017).
실제 심층 처분 터널 운영 과정에서 뒤채움재의 장기 건전성 평가를 위해서는 카올리나이트의 침투 및 뒤채움재의 포화 이후 건조 발생 등 예측 불가능한 환경 조건을 반영한 뒤채움재의 역학적 물성 데이터 베이스 확보가 필요하다. 현재, 국내 압축 벤토나이트 및 벤토나이트 기반 혼합 재료의 역학적 물성 관련 선행 연구는 Table 1과 같이 다수 수행된 바 있다. 그러나 앞서 언급한 예측 불가능한 처분 환경을 반영한 역학적 물성에 대한 연구는 매우 부족한 실정이다. 따라서, 본 연구에서는 천연 방벽 절리 내에서 발생하는 2차 풍화광물인 카올리나이트의 침투 및 포화 이후 건조 상황을 가정하고, 벤토나이트 기반 혼합 뒤채움재의 카올리나이트의 침투량을 변수로 설정하여, 그에 따른 액·소성 한계 측정 및 일축압축강도 및 탄성계수의 역학적 물성을 평가 분석하였다. 본 연구를 통해 획득한 벤토나이트-규사 혼합 재료의 역학적 물성은 향후 극한 처분 환경을 고려한 심층 처분 터널 장기 건전성 평가를 위한 수치 해석 모델 개발 시 기초 입력자료로서 활용될 것으로 기대된다.
Table 1.
Mechanical properties on compacted bentonite-based material in Korea
| Reference |
Bentonite mixing ratio (%) |
Dry density (g/cm3) |
Water content (%) |
UCS (MPa) |
E (GPa) |
| Cho et al. (1999) | 20–70 | 1.38–1.77 | 15.4–29.5 | 0.19–8.83 | 0.13–0.58 |
| Balagosa et al. (2020) | 100 | 1.5–1.77 | 8.69–11.50 | 3.43–13.07 | 0.29–0.88 |
| Yoon et al. (2023) | 100 | 1.4–1.9 | 0–19 | 1.57–19 | 0.36–2.09 |
| Navea et al. (2025) | 100 | 1.59–1.68 | 12.70–15.28 | 12.64–15.28 | 0.56–1.40 |
2. 실험준비 및 방법
2.1 실험 시편의 준비
카올리나이트 침투 모사 벤토나이트 혼합 뒤채움재의 역학적 물성 및 액·소성한계 평가를 위한 시료를 Fig. 3과 같이 준비하였다. 한국원자력연구원에서 제공된 한국형 심층 처분 터널 공학적 방벽재 후보 재료인 Ca형 벤토나이트(Bentonil-WRK)를 활용하였으며 X-ray diffraction을 통해 분석한 Bentonil-WRK의 광물 조성은 Table 2와 같다. 벤토나이트 기반 뒤채움재의 혼합 재료로 규사(silicate sand)를 활용하였으며, 혼합 규사의 입도 분포 곡선을 Fig. 4에 나타내었다. 화강암 내 정장석(K-feldspar)의 화학적 풍화에 따라 발생 가능한 풍화 광물을 모사하기 위한 재료로 Sigma-aldrich 업체에서 납품된 카올리나이트를 활용하였다.
Table 2.
X-ray diffraction (XRD) result of Bentonil-WRK (Cha et al., 2023)
| Mineral type | Composition (%) |
| Montmorillonite | 69.8 |
| Albite | 15.0 |
| Quartz | 1.9 |
| Cristobalite | 13.3 |
벤토나이트 기반 혼합 뒤채움재의 풍화 광물 침투 현상을 모사하기 위해 혼합 비율을 Table 3과 같이 설정하였다. 벤토나이트의 혼합비가 20% 미만인 경우, SKB에서 제시한 수리전도도 관련 설계 요구 조건을 충족시키지 못하며, 벤토나이트의 혼합비가 50% 이상인 경우 뒤채움재 제작 과정에서 경제성이 감소한다는 한계가 존재한다(Komine, 2010). 따라서 본 연구에서는 벤토나이트의 혼합비를 벤토나이트 및 규사의 질량 합 대비 30%, 40%로 각각 설정하였다. 또한, 카올리나이트의 질량 분율을 전체 질량 대비 0%에서 10%까지 각각 설정하였다. Table 3의 Specimen code는 각각 벤토나이트의 혼합비-카올리나이트의 전체 질량 대비 침투 분율을 의미하며, mB, mK, mS는 각각 벤토나이트, 카올리나이트, 규사의 질량을 의미한다. 벤토나이트 및 카올리나이트의 초기 함수비는 각각 14%, 1%로 측정되었으며, 시편 성형 시 시료 내부의 수분에 의해 시편이 팽윤하는 것을 방지하기 위하여 시편의 함수비를 조절하지 않고 시편 제작을 진행하였다.
동일한 벤토나이트 혼합비 및 카올리나이트 질량 분율 조건에서 시편을 2회 제작하였으며 변수에 따라 형성된 건조밀도 및 표준편차를 Table 3에 나타내었다. 모든 벤토나이트 기반 혼합 뒤채움재 시편의 초기 건조밀도는 1.80 ± 0.05 g/cm3의 범위에서 제작되었다. 시편 제작의 경우, 유압프레스를 활용한 플롯팅 다이 프레스(floating die press) 방식을 활용하여 시편 성형을 진행하였으며, 역학적 물성 측정용 시편의 균질한 건조밀도 형성을 위하여 시편의 제원을 높이 약 20 mm, 직경 50 mm로 설정하였다.
Table 3.
Dry density and mixing ratio of bentonite-based backfill specimens
2.2 액·소성한계 시험 방법
본 연구에서는 카올리나이트 침투량에 따른 벤토나이트 시료의 액·소성 한계 측정 시험을 진행하였다. 벤토나이트 혼합 뒤채움재의 경우, 입도가 큰 규사가 혼합 재료로서 활용된다. 액·소성 한계 측정 시험의 경우 425 µm 이하의 입도 크기에 해당하는 흙에 대해서만 측정이 가능하다(ASTM D4318, 2000). 실제로, 혼합 규사를 함께 활용하여 실험에 진행하는 경우, Fig. 5와 같이 함수능의 감소로 인하여 원활한 액·소성 한계 시험이 불가능하였다. 또한, 실제 처분 환경에서 활용되는 벤토나이트 혼합 뒤채움재 시편의 건조에 따른 소성 변형은 벤토나이트와 같은 점성토 재료의 특성만을 반영할 가능성이 높다. 따라서, 본 연구에서는 규사의 혼합 질량비를 제외한 벤토나이트 및 카올리나이트의 질량 분율을 고려하여 벤토나이트 및 카올리나이트만을 혼합한 액·소성한계 시험을 진행하였다.
액·소성한계 시험은 벤토나이트 및 카올리나이트의 질량 분율을 Table 3의 mK/mS+mK의 비율에 따라 총 200 g 혼합한 이후 증류수를 배합한 시료를 활용하여 진행하였다. 액성한계 측정을 위하여 혼합비에 맞게 배합된 시료를 황동 접시에 투입하여 액성한계 측정 장비의 황동 접시 타격 횟수가 15–35회 이내에 해당하는 시료를 채취하여 함수비를 측정하였다. 이후, 각 시료의 타격 횟수 및 함수비 상관관계를 회귀식으로 계산하여 타격 횟수가 25에 해당하는 지점의 함수비를 액성한계로 결정하였다. 소성한계의 경우 혼합된 시료를 직경이 약 3 mm에 도달할 때까지 손바닥으로 굴린 후 균열이 발생할 때의 시료의 함수비를 측정하여 결정하였다. 각 시험의 경우 시험 케이스당 4회 측정하여 평균값을 산출하였다.
2.3 일축압축강도 및 탄성계수 실험 방법
본 연구에서는 실제 심층 처분 터널 운영 중 발생 가능한 벤토나이트 혼합 뒤채움재의 포화-건조 시나리오를 모사하기 위해 시편의 역학적 물성을 측정하기 전, 시편의 포화 및 건조를 선행한 후, 역학적 물성 측정 실험을 진행하였다. 벤토나이트 기반 혼합 뒤채움재 시편의 포화는 Fig. 6의 벤토나이트 기반 혼합 뒤채움재 시편 포화 전용 셀을 활용하여 진행하였다(Yu et al., 2025). 시편의 교란, 압밀 등에 의한 변형 방지 및 완전한 포화를 달성하기 위하여 주입압력을 초기 10 kPa로 설정하여 초기 포화 진행 후, 점진적으로 주입압력을 증가시켜 최종적으로 1 MPa의 주입 압력으로 간극수를 주입하여 포화를 진행하였다. 간극수 유입량과 유출량이 동일하게 수렴하는 경우, 시편 내 벤토나이트의 흡입력(suction)이 완전히 소산되어 포화가 완료되었음을 판단하고 시편의 포화를 종료하였다(Kim et al., 2021). 이후, 실제 심층 처분 터널 운영 시 방사성 핵종 붕괴열 발생 제한 온도인 100°C와 유사한 조건을 반영하기 위하여 벤토나이트 기반 혼합 뒤채움재 시편을 110°C의 온도에서 24시간 이상 건조를 진행하였다(Lee et al., 2016).
Fig. 7의 일축압축강도 측정 장비(Shimadzu UH-F500 kn X, 최대 하중 500 kN)를 활용하여 시편의 일축압축강도 및 탄성계수 평가를 진행하였다. 일축압축강도 및 탄성계수 측정은 1.0 mm/min의 변위제어 조건을 통하여 진행하였다. 탄성계수(Young’s modulus)는 응력-변형률 곡선의 원점에 해당하는 점과 시편의 파괴가 발생하는 지점의 50%에 해당하는 응력값의 기울기인 할선 탄성계수(secant modulus, E50)를 활용하여 도출하였다. 역학적 물성은 변수에 따라 2회씩 측정하였다.
일축압축강도 및 탄성계수 측정의 경우 시편의 세장비(slenderness ratio)를 2로 설정하여 시편의 강도를 측정하는 것이 일반적이다. 그러나 플롯팅 다이 프레스를 통하여 시편 압축 시 세장비가 증가함에 따라 시편 양 끝단에 하중이 집중적으로 재하되어 시편의 위치에 따라 시편의 밀도 차이가 발생하게 된다(Lee et al., 2022). 또한, 시편의 세장비가 증가함에 따라 간극수 주입 시간이 증가하여 시편의 완전한 포화 달성에 제약이 발생하게 된다. 따라서, 본 연구에서는 시편의 균질한 밀도 형성 및 포화 이후 건조 시나리오 반영을 위한 시편의 완전한 포화 달성을 위하여 Fig. 8과 같은 세장비가 낮은 단주형 시편을 활용하여 역학적 물성 평가를 진행하였다.
3. 실험 결과 및 분석
3.1 액·소성한계
점토의 액·소성한계와 같은 아터버그 한계(Atterberg limits)는 점토의 비표면적과 밀접한 상관관계를 나타낸다(Salah et al., 2025). Fig. 9(a)와 같이 카올리나이트의 질량을 벤토나이트 및 카올리나이트 시료의 질량의 합에 나눈 값이 증가(0%→27%)함에 따라 액성한계가 93.6%에서 79.8%로 선형적으로 감소하는 것을 확인하였다. 이 때의 결정계수 R2가 약 0.85로 나타났으며, 이는 카올리나이트의 침투가 벤토나이트의 기반 혼합 뒤채움재의 수분 보유 능력을 감소시킬 수 있는 가능성을 의미한다.
한편, Fig. 9(b)에서 확인할 수 있듯이 카올리나이트의 질량을 벤토나이트 및 카올리나이트 시료의 질량의 합에 나눈 값이 증가(0%→27%)함에 따라 소성한계가 18.3%에서 47.7%의 범위에 분포하였으나, 액성한계와 달리 카올리나이트의 질량 분율과 명확한 상관관계를 보이지 않았다.
3.2 일축압축강도 및 탄성계수
포화 및 건조 과정을 거친 시편에 대한 일축압축강도 및 탄성계수 측정을 진행하였다. 벤토나이트 혼합 뒤채움재 시편의 카올리나이트 침투량에 따른 초기 건조밀도의 형성은 Fig. 10과 같다. 벤토나이트 혼합비 30% 시편의 경우, 카올리나이트 침투량이 증가(0%→10%)함에 따라 건조밀도는 1.84 g/cm3에서 1.78 g/cm3로 약 3.3% 감소하였다. 벤토나이트 혼합비 40% 시편의 경우, 카올리나이트 침투량이 증가(0%→10%)함에 따라 건조밀도가 1.85 g/cm3에서 1.76 g/cm3로 약 4.9% 감소함을 확인하였다.
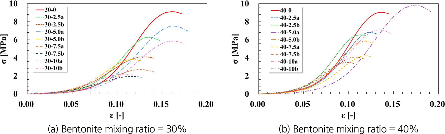
건조밀도에 따른 벤토나이트 혼합 뒤채움재의 응력-변형률 곡선을 Fig. 11에 나타내었다. 카올리나이트 침투량이 증가함에 따라 파괴 지점에서의 변형률이 전반적으로 증가하는 경향을 보였다. 벤토나이트 혼합비가 40%일 때, 벤토나이트 혼합비 30%와 비교하여 파괴 지점의 응력 및 변형률이 증가하는 것을 확인하였다.
건조밀도 및 카올리나이트 침투 질량 분율에 따른 일축압축강도 측정 결과를 Fig. 12에 나타내었다. 벤토나이트 혼합비 30% 시편의 경우, 건조밀도가 1.84 g/cm3에서 1.78 g/cm3로 감소하고, 카올리나이트의 침투 질량 분율이 증가(0%→10%)함에 따라 일축압축강도가 9.11 MPa에서 2.33 MPa로 약 75% 감소하는 것으로 확인되었다. 벤토나이트 혼합비 40% 시편의 경우, 건조밀도가 1.85 g/cm3에서 1.76 g/cm3로 감소하고, 카올리나이트의 침투 질량이 증가(0%→10%)함에 따라 일축압축강도가 9.04 MPa에서 5.31 MPa로 약 41% 감소함을 확인하였다. 유사한 건조밀도 조건에서 벤토나이트 혼합비가 40%일 때 일축압축강도가 상대적으로 높은 것을 확인하였다. 이는 벤토나이트 혼합 시편의 강도 형성이 벤토나이트의 맞물림(interlocking) 및 점착력(cohesion)에 의해 지배되는데, 벤토나이트의 혼합비가 증가함에 따라 시편 성형 시 벤토나이트 입자 간 작용하는 응력이 증가하여 벤토나이트 혼합 뒤채움재 시편의 강도를 더욱 증가시키기 때문인 것으로 분석된다(Cho et al., 1999).
건조밀도 및 카올리나이트 침투 질량 분율에 따른 탄성계수 측정 결과를 Fig. 13에 나타내었다. 벤토나이트 혼합비 30% 시편의 경우, 건조밀도가 1.84 g/cm3에서 1.78 g/cm3로 감소하고, 카올리나이트의 침투 질량 분율이 증가(0%→10%)함에 따라 탄성계수가 40.10 MPa에서 14.67 MPa로 약 63% 감소하는 것으로 확인되었다. 벤토나이트 혼합비 40% 시편의 경우, 건조밀도가 1.85 g/cm3에서 1.76 g/cm3로 감소하고 카올리나이트 침투 질량 분율이 증가(0%→10%)함에 따라 탄성계수가 47.73 MPa에서 26.78 MPa로 약 44% 감소하였다. 일축압축강도 측정 결과와 동일하게 유사한 건조밀도 조건에서 벤토나이트 혼합비가 40%일 때 탄성계수가 높게 형성됨을 확인하였다.
벤토나이트 혼합 뒤채움재의 건조밀도 감소량이 평균적으로 0.08 g/cm3 감소할 때, 일축압축강도가 58%, 탄성계수가 54%로 크게 감소하는 것을 확인하였다. 이는 벤토나이트 혼합 뒤채움재의 역학적 물성이 건조밀도 뿐만 아니라, 카올리나이트의 침투에도 크게 영향을 받기 때문인 것으로 분석된다. 특히, 벤토나이트 혼합비 30% 시편의 경우, 건조밀도 감소 및 카올리나이트 침투 질량 분율이 증가함에 따라 일축압축강도 및 탄성계수 감소율이 벤토나이트 혼합비 40%에 비해 높은 것을 확인하였다. 이는 카올리나이트 침투 상황을 가정할 때, 벤토나이트 혼합비가 증가함에 따라 역학적 안정성이 증가함을 의미한다. 이러한 카올리나이트의 침투 및 뒤채움재의 포화-건조 반복 과정이 발생하는 처분 환경 특성을 고려할 때, 완충재의 팽윤 변형 및 뒤채움재의 자중에 의해 발생하는 하중 조건에 대비하기 위해서는 벤토나이트 기반 혼합 뒤채움재 제작 시 벤토나이트 혼합비를 40%로 설정하는 것이 바람직할 것으로 판단된다.
한편, 세장비가 감소하게 되면 시편 자체의 구속 효과로 인하여 일축압축강도가 증가하는 반면, 탄성계수는 감소하게 된다(Gebresamuel et al., 2023). 본 연구에서 실시한 일축압축강도 및 탄성계수 평가의 경우, 세장비가 낮은 상태에서 역학적 물성 값이 도출되었다는 한계점이 있다. 또한, 본 연구에서 실시한 일축압축강도 및 탄성계수 측정 변위 제어 속도의 경우, 선행 연구의 변위 제어 속도와 유사한 범위에 해당하지만, 토양의 강도 측정 시 분당 변형률 범위에 해당하는 1.0–2.0%/min을 초과한다는 한계점이 존재한다(ASTM D2166, 2000; Balagosa et al., 2020). 따라서, 향후 해당 데이터를 활용할 경우 이러한 한계점을 고려할 필요가 있다.
4. 결 론
본 연구에서는 심층 처분 터널 운영 시 발생 가능한 근계 암반 절리 풍화에 따른 카올리나이트 침투 및 포화-건조 반복 과정에 따른 벤토나이트 기반 혼합 뒤채움재의 역학적 물성 및 액·소성한계 물성을 평가하였다. 이를 위해 Ca형 벤토나이트인 Bentonil-WRK 벤토나이트의 혼합비를 벤토나이트 및 규사 질량 대비 30, 40%로 설정하였으며, 카올리나이트의 침투 가정 질량을 전체 질량 대비 0–10%로 설정하여 일축압축강도, 탄성계수 및 액·소성한계 물성을 측정하였다. 본 연구를 통해 도출된 결론은 다음과 같다.
1. 카올리나이트 침투 가정 벤토나이트 기반 혼합 뒤채움재 재료 중 함수비에 영향을 미치는 벤토나이트 및 카올리나이트의 질량 분율에 따른 액·소성한계 평가를 실시하였다. 실험 결과, 액성한계는 카올리나이트의 질량 분율 증가(0%→27%)에 따라 시편의 액성한계는 약 15% 감소하였고, 소성한계는 뚜렷한 경향성을 나타내지 않았다. 이는 카올리나이트의 침투량 증가에 따라 벤토나이트 기반 혼합 뒤채움재의 팽윤 성능 감소 및 포화-건조에 따른 시편의 상태 변화에 민감해짐을 의미한다.
2. 카올리나이트의 침투 질량 분율이 증가(0%→10%)함에 따라 벤토나이트 기반 혼합 뒤채움재 시편의 초기 건조밀도가 감소하며, 일축압축강도 및 탄성계수가 감소함을 확인하였다. 특히, 벤토나이트 혼합비가 30%인 경우, 일축압축강도의 감소율이 약 75% 감소하여 카올리나이트 침투에 따른 강도 감소가 벤토나이트 혼합비 40%에 비하여 큰 것으로 확인되었으며, 이는 역학적 거동을 고려할 때 뒤채움재의 벤토나이트 혼합비 40%로 제작하는 것이 바람직함을 의미한다.
3. 본 연구에서 측정한 일축압축강도 및 탄성계수 물성은 시편의 균질한 성형 및 포화-건조 시나리오 반영을 위하여 세장비 약 0.4의 시편을 통해 평가되었다. 따라서, 본 연구에서 측정된 일축압축강도 특성은 시편 자체의 측방 구속 효과로 인하여 과대평가되었을 가능성이 존재하며, 탄성계수는 과소평가 되었을 가능성이 있다는 한계점이 존재한다. 향후 연구에서는 시편의 세장비에 따른 강도 보정 및 실제 세장비 기준을 충족하는 시편과의 비교 검증을 통해 보다 정확한 역학적 물성 평가가 필요하다.
본 연구를 통해 획득한 물성은 향후 예측 불가능한 극한 처분 환경을 고려한 심층 처분 터널의 장기 거동 수치 해석 분석 시 기초 입력자료로서 활용될 것으로 기대된다.















