1. 서 론
2. 시험조건 및 방법
2.1 고온시험에 사용된 고온가열로의 제원
2.2 시험체 제작
2.3 시험방법
3. 시험결과
3.1 중량손실률
3.2 역학적 특성 변화
3.3 시공재료별 역학적특성 변화를 추정하기 위한 도표 제안
4. 결 론
1. 서 론
터널은 지하공간이라는 폐쇄성으로 인해 건축구조물에서 발생하는 화재와 달리 더 높은 고온에 도달할 수 있으며 온도 상승구배 또한 매우 크다. 일반적으로 터널 화재 발생 시, 가열면으로부터 폭렬(spalling)과 탈락이 발생한 뒤 구조물의 잔존부에서는 화재로 인한 물리․화학적 특성의 변화에 의해 제반 역학적 특성들이 감소하게 된다(Khoury, 2002).
고온 하에서 콘크리트의 화학적 특성 변화는, 시멘트 경화체의 변화와 골재의 변화에 따라 달라진다. 다공체인 시멘트 경화체에서 고온에 의한 화학적 변화의 주요한 요인은 수분의 탈수와 탈수에 동반하는 미세 구조의 변화이다. 고온으로 인한 골재의 주요한 변화에는 광물 결정 구조의 변화, 탈수, 가스의 방출 등이 있다. 또한 고온 하에서 시멘트 경화체의 변화는, 30℃~600℃에서 발생하는 자유수나 시멘트 수화물의 탈수, 600℃~700℃에서의 C-S-H 상의 분해, 1100℃~1200℃에서 나타나는 융해로 크게 구분할 수 있다(日本コンクーリト工學協會, 2002).
콘크리트의 압축강도는 200℃이상의 온도에서 선형적으로 저하하는 경향을 보이는 것으로 보고되고 있으며, 압축강도의 잔존율은 500℃에서 약 50%, 800℃에서 약 10% 정도가 되는 것이 일반적인 경향이다. 압축강도의 저하 경향은 골재-시멘트비, 골재종류, 가열 중의 작용응력 등에 따라 다르지만, 500℃정도까지의 고온에서는 시멘트 종류에 따른 압축강도의 차이가 거의 없는 것으로 보고된 바 있다. 또한 보통강도에 비해 고강도인 콘크리트에서 고온에 의한 압축강도의 저하가 커지는 것으로 보고되고 있다(Peng, 2000).
또한 고온을 받은 콘크리트 재료의 탄성계수는 온도가 증가함에 따라 선형적으로 감소하고 약 800℃에서는 거의 0에 가깝게 되는 것으로 보고되고 있다. 압축강도의 경우처럼, 탄성계수의 저하 경향은 골재-시멘트비, 골재종류 그리고 가열중의 작용응력 등에 의해 크게 다르지만 시멘트 종류의 영향은 거의 없는 것으로 알려져 있다. 또한 고강도 콘크리트는 일반강도 콘크리트에 비해 탄성계수의 저하가 약간 작다는 연구결과도 있다(日本コンクーリト工學協會, 2002).
하지만 이상의 선행 연구들은 대부분이 건축부재로 사용되는 콘크리트 재료에 대한 것으로서, 터널구조물에 적용되고 있는 콘크리트 라이닝이나 숏크리트 라이닝에 대한 고온 하 역학적 특성에 대한 자료가 매우 부족하다. 특히 숏크리트에 대한 화재손상 특성 관련 연구는 전무한 실정이다. 더욱이 국내에서는 고온 하에서 콘크리트 역학적 특성에 대한 대부분의 연구가 전기로를 이용한 방식이나 문헌연구 조사에 머무르고 있어, 급격한 온도상승을 모사할 수 있는 가열로를 사용한 콘크리트의 역학적 특성변화에 대한 연구가 필요하다(Peng, 2000).
최근 들어 장수호 등(2006)은 터널구조물 시공재료별로 시험체를 제작한 후 지하공간 화재를 모사할 수 있는 수평가열로를 이용하여 모의 화재실험을 수행하였다. 이 연구에서는 독일 교통성 도로건설부가 규정하고 있는 RABT(Richtlinien fur die Ausstattung und den Betrieb von Straßentunneln) 화재시나리오와 네덜란드 운수공공사업성이 규정하는 RWS(RijksWaterStaat) 화재시나리오에 따른 시공재료별 단면손실의 정도와 원인을 분석하였고, 화재지속시간에 따른 시험체 내부의 온도변화를 측정하여 시공재료 내부의 온도이력을 모델화 하였다. 또한 폭렬 등으로 인해 구조물 단면이 손실된 후, 잔존부의 약 5~10 cm 지점에서도 200℃~500℃의 높은 온도가 발생될 수 있는 것으로 관찰하였다.
따라서 이와 같이 화재 손상이 발생한 터널 구조물을 신속히 보수․보강하고 최적의 내화 대책(fire-proofing)을 적용하기 위해서는, 온도에 따른 터널구조물의 손상정도를 파악하는 것이 필요하다. 이를 위하여, 본 연구에서는 고온 하에서 온도변화에 따른 터널구조물 시공재료의 제반 역학적 특성 변화를 실험적으로 측정하고자 하였다. 또한 이상의 결과를 장수호 등(2006)이 제시한 화재지속시간에 따른 시공재료 내부의 온도이력모델에 적용하여, 화재시나리오에 따라 화재 노출면으로부터의 깊이별로 시공재료의 역학적 특성변화를 쉽게 추정할 수 있는 방법을 제시하고자 하였다.
2. 시험조건 및 방법
2.1 고온시험에 사용된 고온가열로의 제원
본 연구에서는 온도변화에 따른 터널구조물 시공재료의 역학적 특성 변화를 측정하기 위하여, 가열용 버너의 최대용량이 580,000 kcal/hr이고, 가로 1,100 mm, 세로 700 mm, 높이 600 mm인 수평 가열로를 사용하였다. 사용된 가열로는 그림 1과 같으며, 우측의 제어판에서 가열로내의 온도를 사용자가 조절할 수 있다. 시공재료별로 제작된 공시체들을 가열로 내부에 투입하고 가열로 상부를 단열재로 피복한 덮개로 덮은 뒤, 설정된 최고온도와 최고온도 유지시간에 따라 고온 시험을 실시하였다.
2.2 시험체 제작
터널구조물에 사용되는 시공재료들은 시공법과 터널구조물의 용도에 따라 서로 다른 특성과 적용범위를 가지고 있다. 일반적으로 지하구조물에 사용되는 시공재료들을 정리하면 표 1과 같다.
본 연구에서는 터널구조물에 사용되는 시공재료들에 대한 화재 후 역학적 특성 변화를 파악하고자, NATM터널의 콘크리트 라이닝 및 박스 구조물에서 사용되는 설계강도 24 MPa의 콘크리트와 쉴드터널의 콘크리트 세그먼트에 적용되는 설계강도 42 MPa의 콘크리트, 그리고 아직까지 국내에 적용사례는 없으나 양호한 지반조건에서 향후 적용 가능성이 높은 싱글쉘 터널공법에 대한 숏크리트(설계강도 21 MPa)에 대한 공시체를 제작하였다.
콘크리트 재료의 경우에 공시체는 지름 100 mm, 길이 200 mm의 원통형 시료로 제작하였으며, 숏크리트 재료의 경우에는 숏크리트가 타설된 몰드로부터 지름 54 mm의 NX코어를 채취한 후 지름: 길이 비율이 약 1:2가 되도록 성형하였다. 각 시공재료별 공시체의 배합설계는 표 2와 같다.
2.3 시험방법
이상과 같이 제작된 각 공시체에 대해서 300℃부터 1,000℃까지 100℃ 간격으로 화재시험을 실시하였다. 100℃와 200℃에 대한 화재시험은 본 연구에서 적용한 가열로의 버너 용량관계상 수행이 불가능하였다. 그러나 기존 연구결과에 의하면 100℃와 200℃에서의 재료 손상은 그 이상의 온도에 의한 손상과 비교할 때 영향이 거의 미미한 것으로 보고되고 있다(日本コンクーリト工學協會, 2002).
공시체에 대한 화재시험 후 실시하는 재하실험은 사전비재하 실험, 사전 재하실험 그리고 사전비재하 잔존 실험 등으로 구분할 수 있다(김흥열, 2002). 본 연구에서는 주로 화재 피해를 입은 터널구조물의 잔존 특성을 평가하는데 목적이 있기 때문에, 실험체 내부가 목표온도에서 열적 안정상태에 도달된 후 다시 실험체를 상온까지 자연 냉각시키는 사전비재하 잔존 실험의 형식을 채택하였다.
화재시험 조건을 설정할 때는 온도구배, 최대온도 유지시간과 재하시험전의 자연냉각 시간 등이 중요하다. Peng(2000)의 연구에 의하면 현재까지 수행된 선행 화재시험 연구들에서 적용된 온도구배는 대부분 0.25℃/min~16℃/min의 범위에 해당하는 것으로 나타났다. 이는 급격한 온도상승의 모사가 불가능한 전기로를 사용하였기 때문인 것으로 보인다. 반면 본 연구에서처럼 대형 가열로에 의해 수행한 기존 연구는 극히 적었으며 이때의 온도구배는 80℃/min로 나타났다. 일본에서 수행된 연구에서도 가열속도는 1.5~2.0℃/min의 범위에 해당하였다(日本コンクーリト工學協會, 2002).
본 연구에서는 지하공간 화재의 특성인 초기의 급격한 온도상승 조건을 모사하고 장수호 등(2006)이 연구한 화재지속시간에 따른 시공재료 내부의 온도이력모델을 본 연구결과와 연계시키기 위하여, 전세계적으로 가장 널리 적용되며 대표적인 지하공간 화재시나리오인 RABT와 RWS 화재시나리오의 초기 가열속도와 동일하게 목표온도까지 가열하였다(그림 2).
또한 Peng(2000)은 고온에서의 노출시간이 길수록 역학적 특성저하가 더 크게 발생하지만, 손실의 대부분이 콘크리트가 고온에 노출된 후 1~2시간 안에 발생된다고 하였다. 따라서 본 연구에서는 목표 온도에 도달한 후 목표 온도를 1시간 동안 유지한 후 자연 냉각시켰다. 화재 손상을 받은 각 공시체에 대해서는 Peng(2000)과 일본콘크리트공학협회(2002)의 설정조건과 동일하게 1일간 상온에서 냉각시킨 후 재하실험을 실시하였다. 각 목표온도 및 시공재료별로 3회의 재하실험을 통해 압축강도, 탄성계수 및 중량손실량을 측정하여 평균값을 분석에 사용하였다.
3. 시험결과
3.1 중량손실률
각 목표온도 조건별로 얻어진 터널구조물 시공재료들의 중량손실률은 다음의 표 3 및 그림 3과 같다. 이때 중량손실률은 상온에서의 공시체 중량과 화재 손상을 받은 이후의 공시체 중량의 상대적인 비율로 정의된다. 그림 3과 같이 목표온도에 따라 시공재료들의 중량이 선형적으로 감소하는 것을 알 수 있다. 약 600℃의 온도에 도달하면 재료의 중량은 약 5% 감소하는 것으로 나타났으며, 1,000℃에서 설계강도 42 MPa의 콘크리트 재료는 중량이 약 10%까지 감소하였다. 따라서 강도가 큰 재료의 중량손실률이 상대적으로 더 크게 나타남을 확인할 수 있었다.
3.2 역학적 특성 변화
터널구조물에 사용되는 시공재료별로 목표온도 조건에 따른 제반 역학적 특성변화를 정리하면 표 4에서 표 6과 같다.
설계강도 24 MPa의 콘크리트는 500℃~600℃에서 압축강도가 상온에서의 50% 이하로 감소하며, 1000℃에서는 상온의 2.47% 수준으로 급격히 감소하였다. 반면 탄성계수의 경우에는 압축강도와 비교하여 온도에 따른 감소폭이 더 커서, 400℃~500℃에서는 상온에서의 50% 이하로 감소하며 1,000℃에서는 상온의 3.64% 수준에 해당하였다(표 4).
설계강도 42 MPa의 콘크리트에서도 앞선 설계강도 24 MPa의 콘크리트와 매우 유사한 결과가 얻어졌다. 다만 700℃ 이하에서는 설계강도 42 MPa의 콘크리트에 대한 압축강도 잔존율은 설계강도 24 MPa의 경우보다 다소 작게 나타났으며, 탄성계수 잔존율의 경우 400℃~700℃에서는 설계강도 42 MPa의 콘크리트가 설계강도 24 MPa 보다 다소 크게 나타났다. 목표온도 1,000℃에서 얻어진 공시체는 재하시험 전에 화재로 인한 거시 균열이 크게 발생하여 스트레인게이지에 의한 탄성계수의 측정이 불가능하였다(표 5).
온도 증가에 따른 숏크리트의 역학적 특성 감소 추이는 콘크리트 재료와 비슷하였다. 하지만 400℃까지의 압축강도 잔존율은 콘크리트보다 크게 나타난 반면, 600℃이상의 고온에서는 물성이 매우 급격히 감소하는 차이를 보였다. 일례로 900℃에서 얻어진 숏크리트 공시체는 균열 발생이 매우 심하여 탄성계수 측정이 불가능하였으며, 1,000℃에서 얻어진 숏크리트는 압축시험기의 가압판이 접촉되는 순간 파괴될 정도로 심한 손상을 받았다. 따라서 숏크리트에 대해서는 600℃이상의 고온에 노출되지 않도록 사전에 대처하는 것이 터널구조물의 안정성을 확보하는데 있어 필수적이라고 할 수 있다(표 6).
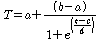
이상과 같이 목표온도에 따라 터널구조물의 시공재료별로 측정된 역학적 특성변화를 도식적으로 나타내면 그림 4에서 그림 6과 같다. 온도에 따른 이상의 실험결과들을 회귀분석한 결과, 식 (1)과 같이 sigmoidal 함수인 Boltzmann함수로 최적 회귀함수를 도출할 수 있었으며, 모든 경우에 상관계수가 0.99이상으로 얻어졌다.
(a) 압축강도 | (b) 탄성계수 | |
그림 5. 콘크리트 시공재료의 온도단계별 역학적 특성 변화 (설계강도: 42 MPa) | ||
(a) 압축강도 | (b) 탄성계수 | |
그림 6. 숏크리트의 온도단계별 역학적 특성 변화 | ||
(1)
여기서
와
은 각각 설정된 목표온도에서 측정된 압축강도와 탄성계수,
와
는 각각 상온에서 측정된 압축강도와 탄성계수,
는 목표 온도(℃)이며,
,
,
,
는 각각 회귀분석으로부터 얻어지는 상수이다.
ACI(1995)에서는 코어에 의한 콘크리트 강도는 한 위치에서 3개의 코어강도 시험에서 측정된 평균강도가 설계강도의 85%이상이고, 그 중 어느 한 코어도 75%이하로 저하되지 않으면 적정한 것으로 규정하고 있다. 또한 비파괴 추정식으로 평가된 강도가 설계기준강도의 90%이상을 만족하면 적정한 것으로 판단하고 있다(이진용과 박윤제, 2006).
따라서 이상과 같이 수행된 시험 결과에 따르면, 300℃이상의 온도에서 모든 재료가 손상을 받은 것으로 고려할 수 있다. 특히 300℃~400℃ 및 600℃~700℃의 온도 수준을 재료 특성이 급격하게 변화하는 임계온도로 고려할 수 있음을 알 수 있다(그림 4~6). 특히 300℃~400℃의 온도수준은 역학적 특성이 급격히 감소하기 시작하는 임계온도 수준으로, 그리고 600℃~700℃의 온도수준은 역학적 특성이 급격히 감소한 뒤 거시적인 파괴로 진전되는 임계온도 수준으로 고려할 수 있다. 또한 숏크리트는 콘크리트 재료와 비교할 때 600℃이상의 고온에서 재료 특성의 감소가 더욱 크게 나타나, 특히 숏크리트에 대해서는 600℃이상의 고온에 노출되지 않도록 하기 위한 사전 대책이 더욱 중요함을 알 수 있었다.
각 목표온도별로 화재시험을 수행한 후 회수된 공시체의 표면형상을 관찰한 결과에서도(그림 7~9), 최대온도가 600℃이상에서 회수된 콘크리트 공시체의 표면에서는 육안으로도 쉽게 식별할 수 있는 거시균열(macro-crack)들이 관찰되기 시작하며 최대온도가 증가할수록 균열 밀도가 증가하는 것을 알 수 있었다. 또한 일반적으로 700℃이상의 온도에서는 공시체의 단면 손실이 발생하는 것을 관찰할 수 있었다. 숏크리트의 경우에도 이상과 같은 균열 발생 경향을 따른다고 볼 수 있으나, 콘크리트와 비교하여 상대적으로 다공성 재료이며 조직이 치밀하지 못하기 때문에 거시 균열을 쉽게 관찰하기는 어려웠다. 숏크리트에서 거시균열을 쉽게 관찰할 수 없는 또 다른 이유는 다공성 등으로 대표되는 숏크리트 고유의 특성뿐만 아니라, 숏크리트의 인성을 증가시키기 위해서 사용된 강섬유가 이러한 거시균열의 전파를 방지하는데 역할을 한 것으로 추정된다. 반면, 600℃미만의 최대온도 조건에서 회수된 공시체의 표면에서는 모든 시공재료에 대해서 눈에 띄는 거시균열이 관찰되지 않았다. 즉, 600℃미만의 화재로 인한 시공재료의 손상은 거시균열보다는 미소균열(micro-crack)들의 생성과 전파로 인해 발생한 것으로 추정할 수 있다.
|
| |
(a) 목표온도 600℃ | (b) 목표온도 1,000℃ | |
그림 7. 콘크리트 재료의 화재시험 후 표면형상 (설계강도: 24 MPa) | ||
|
| |
(a) 목표온도 600℃ | (b) 목표온도 1,000℃ | |
그림 8. 콘크리트 재료의 화재시험 후 표면형상 (설계강도: 42 MPa) | ||
|
| |
(a) 목표온도 600℃ | (b) 목표온도 1,000℃ | |
그림 9. 숏크리트의 화재시험 후 표면형상 | ||
3.3 시공재료별 역학적특성 변화를 추정하기 위한 도표 제안
장수호 등(2006)은 RABT와 RWS 화재시나리오를 적용하고 터널구조물에 사용되는 무근 콘크리트, 철근보강 콘크리트, 쉴드 세그먼트 콘크리트 및 숏크리트에 대해 모의화재시험을 수행하여, 그림 10의 예와 같이 화재 경과시간과 초기 노출면에서부터의 깊이에 따른 온도분포를 회귀분석에 의해 분석하였다. 그 결과, 다음의 식 (2)와 같은 음지수함수와 식 (3)과 같은 Boltzmann함수에 의해 최적의 회귀식을 도출하였는데, 음지수 함수는 모든 경우에 해당되며 Boltzmann함수는 숏크리트에 대해 RWS 시험을 실시한 결과의 일부에만 적용이 가능한 것으로 나타났다.

(firstorderexponentialdecay) (2)

(sigmoidalfunction-Boltzmannfunction) (3)
여기서
는 시험체 내부의 온도(℃),
는 가열후 경과시간(분)이며
,
,
,
는 각각 회귀분석으로부터 얻어지는 상수이다.
따라서 본 연구에서는 목표온도별 시공재료의 역학적 특성 변화(그림 4~6)를 화재경과시간과 화재 노출면으로부터의 깊이에 따른 온도분포 모델(장수호 등, 2006)에 적용하여, 화재시나리오 및 시공재료에 따른 터널구조물의 손상정도와 손상범위를 사전에 쉽게 추정하고 평가하기 위한 도표를 제시하였다(그림 11~18). 이때 각 그림에서 빈 부분으로 표시된 부분은 폭렬 등으로 인하여 영구적인 단면 손실이 발생하는 지점이다. 또한 도표의 활용성을 높이기 위하여 시공재료의 역학적 특성 변화는 상온에서의 역학적 특성으로 정규화하여 표현하였다.
이상과 같이 제시된 도표들에 의해서 터널 시공재료와 화재시나리오별로 화재 경과시간과 초기 노출면으로부터의 거리에 따른 시공재료 내부의 온도분포를 쉽게 추정할 수 있을 뿐만 아니라, 그에 따른 압축강도 및 탄성계수와 같은 역학적 특성들을 정량적으로 추정할 수
있다. 따라서 이와 같은 추정 도표들은 화재에 대한 터널 구조물의 손상정도와 범위를 사전에 추정하고 평가하는데 쉽게 활용될 수 있을 것으로 사료된다.
4. 결 론
본 연구에서는 화재 후 터널구조물 시공재료의 역학적특성 변화를 파악하기 위하여, 300℃부터 1,000℃까지 100℃간격으로 각 목표온도 조건에 따른 중량손실률 및 제반 역학적 특성 변화를 측정하였다. 또한 이상의 측정결과를 각 시공재료와 화재시나리오에 따른 온도분포 모델에 적용하여, 터널구조물의 손상정도와 손상범위를 쉽게 추정하고 평가하기 위한 도표를 제시하였다 이상으로부터 얻어진 주요 결과들을 요약하면 다음과 같다.
1.온도에 따른 역학적 특성의 변화추이에 대한 분석과 고온 가열후 공시체 표면에 대한 관찰 결과, 300℃부터 약 600℃까지 재료 특성이 선형적으로 급격히 감소하기 시작하며 600℃이상의 고온에서는 온도에 따른 재료 특성의 감소 구배는 줄어들지만 상온에서의 재료 특성과 비교하여 극히 낮은 수준의 특성을 보이는 것을 파악할 수 있었다. 또한 600℃이상의 고온을 받은 공시체 표면에서 육안으로도 거시균열의 형성을 쉽게 확인할 수 있었다. 따라서 약 600℃의 온도수준을 재료 특성이 급격히 저하된 후에 거시적인 파괴로 진전되는 임계 온도수준으로 고려할 수 있을 것으로 판단된다.
2.숏크리트는 콘크리트 재료와 비교할 때 600℃이상의 고온에서 재료 특성의 감소가 더욱 크게 나타나, 숏크리트에 대해서는 600℃이상의 고온에 노출되지 않도록 하기 위한 사전 대책이 더욱 중요함을 알 수 있었다. 따라서 숏크리트 라이닝이 영구 지보재이자 구조체로 적용되는 싱글쉘 터널에서는 고온의 화재 발생에 대한 주의를 더욱 기울여야 할 것으로 판단된다.
3.터널구조물에 사용되는 시공재료별로 목표온도에 따라 측정된 역학적 특성변화들을 회귀분석한 결과, sigmoidal 함수인 Boltzmann함수로 최적 회귀함수를 도출할 수 있었고 이때 모든 경우에서 상관계수가 0.99이상으로 얻어져 매우 우수한 상관관계를 보였다.
4.목표온도 단계별로 얻어진 시공재료별 역학적 특성 측정결과를 화재 시나리오에 따른 시공재료 내부의 온도이력 모델에 적용하여, 시공재료 내부의 온도분포를 쉽게 추정할 수 있을 뿐만 아니라 그에 따른 압축강도와 탄성계수와 같은 역학적 특성들의 저하 정도를 정량적으로 쉽게 추정하기 위한 도표를 RABT 및 RWS 화재시나리오 각각에 대해 제시하였다.

















