1. 서 론
2. 지보재 특성에 따른 이론적 배경
2.1 숏크리트
2.2 선단정착형 록볼트
2.3 강지보재
2.4 지보재 특성곡선
3. 축소모형실험
3.1 지반과 지보강성에 따른 유연도비(flexibility ratio)를 적용한 재료산정
3.2 실험 case
3.3 실험방법
3.4 실험결과
3.4.1 숏크리트 천단응력 계측 결과
3.4.2 지표침하 계측 결과
4. 수치해석
4.1 해석과정 및 방법
4.2 해석결과
5. 결 론
1. 서 론
고도의 산업 발달과 급속한 경제 성장에 따라 도심지역의 교통 문제 해소를 위해 지하철, 지하차도 등, 터널을 비롯한 지하공간의 효율적인 이용에 대한 필요성이 증대되면서 지하 공간의 개발이 활발하게 진행되고 있다. 현재 지하 공간의 개발은 대부분 NATM방식에 의해 시공되고 있다. 국내 터널공사에 주로 적용되고 있는 NATM공법은 발파 또는 기계굴착에 의해 굴착 후 강지보재, 숏크리트 및 록볼트를 조기에 설치함으로써 지반의 강도를 최대한 유지한다. 이 때 사용되는 강지보재, 숏크리트 및 록볼트는 터널굴착 후 설치되는 주요 지보재이며 이 중에서 H-beam과 같은 강지보재는 무지보 지반의 직접보강 및 숏크리트 라이닝의 하중분산 효과, 숏크리트 또는 록볼트의 지보 기능이 충분히 발휘될 때까지의 일시적인 지압지지와 더불어 터널 단면의 형상을 유지하는 역할 등의 목적으로 사용되고 있다.
한편, 지보재의 설계에서는 지반이 불량한 조건에서 강지보재를 지보설계에 반영하고 있는데, 실제 터널 시공현장에서는 강지보재가 최대의 지보효과를 발휘할 수 있는 방식으로 시공이 이루어지지 않고 있을 뿐만 아니라 일체화된 강지보재와 숏크리트의 지보능력에 대한 검증과 이를 설계에 직접 반영할 수 있는 방법 등이 아직 제시되지 않고 있다. 이러한 문제점들을 해결하기 위하여 Hoek(1998)는 양호하지 않은 지반 조건에서 터널시공에 적용되는 지보의 종류와 각 지보재들의 최대지보압 산정을 통해 터널 지보에 대한 강지보의 역할을 비교 검토하였으며, Hoek & Brown(1980)은 변형구속법으로 지보재의 평균강성을 사용하여 지반과 지보 시스템의 상호작용을 해석하였다. 김상환 등(2009)은 터널 굴착 후 지반을 보강하는 기존 지보시스템의 단점을 보안할 수 있는 저토피 구간의 신개념 고성능 터널지보시스템에 대한 연구를 수행하였으며, 손정훈 등(2008)은 강지보재 보강 숏크리트의 거동에 관한 연구를 수행한 바 있다.
지금까지 강지보재의 설계 개념에서는 강지보를 주지보재인 숏크리트가 경화되어 부재력을 발현하기 직전까지 굴착에 따른 이완하중을 임시적으로 지지하는 보조 지보재로 인식되어 왔다(김상환, 2010).
본 연구에서는 보조 지보재로 인식되는 기존 강지보재의 단점을 보안하기 위해 숏크리트, 강지보재 및 록볼트와 일체가 되어 지보 기능을 효과적으로 발휘할 수 있는 신개념 지보시스템 개발을 연구하였다. 신개념 지보시스템은 기존 강지보재의 형식을 확립하기 위하여 다른 지보재인 숏크리트와 록볼트를 이용하였을 때 강지보재가 터널 지지 구조체로 거동될 수 있도록 축소모형실험 및 수치해석을 통하여 비교 검토를 수행하였다.
2. 지보재 특성에 따른 이론적 배경
2.1 숏크리트
숏크리트는 현재의 NATM개념에 근거한 터널에서 가장 중요한 지보재 중의 하나이다. 숏크리트는 조기에 타설됨과 동시에 ‘조강’으로서 강도가 발휘되면, 터널 굴착후 지반의 과도한 이완을 방지할 수 있는 최적의 지보재이기 때문이다. 지보재 강성은 다음 그림과 같은 링의 외부에 ps의 압력이 작용될 때, 링이 안쪽으로 오그라드는 내공변위를 탄성론으로 구한 것으로써 다음 그림 1과 같이 나타낼 수 있다(이인모, 2004).
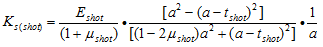
숏크리트의 강성은 다음 식과 같이 나타낼 수 있다(이인모, 2004).
(1)
여기서, Eshot는 숏크리트의 탄성계수, μshot는 숏크리트의 포아송비, tshot는 숏크리트의 두께, a는 터널의 반경을 의미한다. 또한 숏크리트의 최대지보압은 다음 식과 같이 나타낼 수 있다.
(2)
여기서,
s(shot)는 숏크리트의 일축압축강도를 의미한다.
2.2 선단정착형 록볼트
록볼트는 숏크리트와 마찬가지로 지반과 일체화되어야 그 효과를 충분히 발휘할 수 있다. 선단정착형 록볼트의 선단정착부는 소성영역 바깥쪽에 위치하여야 하며 소성영역에서의 변위에 저항하여 지보재에 지보압(ps)이 발생되고 이 지보압은 주로 선단정착부의 인발저항력으로 저항하게 된다. 선단정착형 록볼트의 상세도는 다음 그림 2와 같이 나타낼 수 있다.
록볼트의 간격과 길이로부터 록볼트의 지보압과 지보재 강성을 구하고, 이것으로부터 록볼트가 설치된 지반의 내공변위를 구할 수 있다. 선단정착형 록볼트의 강성(Ks(bol))과 최대지보압(
)은 식 (3)과 식 (4)로 구해진다(이인모, 2004).
(3)
(4)
여기서, Q는 선단정착부에서의 하중-변형계수, st는 지하공간횡단면상의 록볼트간격, sl는 터널종단상의 록볼트 간격, Lbol는 록볼트의 길이, Φ는 록볼트의 직경, Est는 강재의 탄성계수, Tmax는 선단정착형 록볼트에서의 항복하중(MN)을 의미한다.
2.3 강지보재
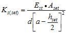
강지보재는 NATM 공법에 맞는 주 지보재는 아니지만, 국내의 경우 불량한 암반에서 굴착 직후 조기에 지보역할을 할 수 있는 강성 지보재로서 널리 사용되고 있으며, 강지보재의 지보재 강성은 다음 식 (5)으로 구할 수 있다(이인모, 2004).
(5)
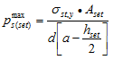
여기서, Ks(set)는 강지보재의 지보재 강성(kPa), Est는 강재의 탄성계수, a는 터널의 반경, Aset는 강지보재의 단면적, hset는 강지보재의 높이, d는 강지보재의 간격을 의미한다. 또한 강지보재의 최대지보압은 다음 식 (6)으로 구할 수 있다.
(6)
여기서,
st,y는 강재의 항복강도를 의미한다.
2.4 지보재 특성곡선
숏크리트와 록볼트를 강지보재에 체결한 신개념 지보시스템의 역학적 거동을 증명하기 위하여 지보재 특성곡선을 통하여 이론적으로 정립하였다. 실제로 터널의 설계・시공시에는 한 종류의 지보재만 설치하는 것이 아니라, 세종류의 지보재를 조합하여 설치하고 있다. 이 지보재들은 스프링이 병렬로 연결된 것으로 생각하면 연결된 강성은 각 지보재의 강성계수를 단순히 더하면 된다. 각 지보재의 강성계수는 다음 식 (7)과 같이 나타낼 수 있다.
(7)
여기서, Ks(shot)는 지보재 시스템의 강성계수, Ks,i는 지보재 I의 강성계수를 의미한다. 또한 각 지보재의 지보압을 나타내면 다음 식 (8)과 같다.
(8)
여기서
은 터널벽면에서의 내공변위,
은 지보재 설치시점에서의 내공변위를 의미한다.
여러개의 조합 지보재 중에서 지보압이 증가함에 따라 최대 지보압이 작은 지보재부터 항복에 도달할 것이다. 따라서, 지보재 시스템의 강성은 식 (9)를 수정하여 다음 식 (9), (10)으로 나타낼 수 있다.
(9)
(10)
여기서,
는 지보재 I의 탄성한계에서의 변위(즉, 지보재의 변위가 (
)에 이르면 항복응력에 도달한다.
상기 식을 이용하여 세 개의 지보재로 구성된 기존 지보시스템과 강지보를 고려한 지보시스템 및 숏크리트와 강지보재에 록볼트를 체결하여 일체화시킨 신개념 지보시스템에 대한 지보재 특성곡선을 나타낼 수 있다.
그림 3와 같이 지보재 특성곡선에 따라 기존의 지보시스템과 강지보재를 추가한 지보시스템과 신개념 지보시스템의 거동은 다음과 같으며 신개념 지보시스템의 상세도는 그림 4과 같다. 기존의 지보시스템의 경우보다 강지보재를 고려한 지보시스템을 비교한 결과 보강효과는 있으나 강지보재는 숏크리트보다 상대적으로 강성이 작고 항복변위가 비슷하기 때문에 지보재 특성곡선에 기여하지 못하는 것으로 판단된다. 반면에 그림 4와 같이 신개념 지보시스템의 경우 강지보와 록볼트를 체결함에 따라 인장력이 도입되는 록볼트와 강지보를 굴착면에 안전하게 고정시킴으로써 강성과 항복변위를 증가시켜 숏크리트가 항복한 이후에 지보재 특성곡선에 기여하는 것으로 판단된다.
3. 축소모형실험
본 연구는 사질토 지반 내에서 터널을 시공 할 경우 강지보재 보강에 따른 숏크리트의 거동을 파악하기 위하여 축소모형장비를 제작하였으며 실험 지반의 균질성을 확보하기 위하여 주문진 표준사로 지반을 조성하였다.
3.1 지반과 지보강성에 따른 유연도비(flexibility ratio)를 적용한 재료산정
터널 인접에 있는 지반의 거동은 라이닝의 강성에 큰 영향을 받는다. 1972년 Peck교수는 지반 내에서 라이닝의 거동을 지반과 라이닝의 상호 거동에 따라 flexible과 stiff로 구분하여 언급 하였다. ‘SOFT’지반 내의 stiff 라이닝은 ‘HARD’지반에서는 flexible하게 거동한다는 의미이다. Flexible 라이닝의 경우, 초기에는 ring 압축과 같이 라이닝과 연직방향으로 지반의 하중이 라이닝에 균등한 분포로 작용하게 되며, 따라서 휨모멘트도 작게 발생된다. 반면 stiff 거동을 하는 라이닝의 경우 지반하중은 라이닝의 bending action에 의해 지지하는 것이라 볼 수 있다.
이와 같이 지반내의 라이닝 거동 특성은 라이닝 자체의 강성과 지반의 강성의 비로 표현 할 수 있다.
Flexibility ratio(F) 값은 주변지반의 전단강도에 따른 터널 라이닝의 bending stiffness에 의해 결정하는 요소이며, 식 (11)과 같은 식으로 계산되어진다.
(11)
여기서, Es, El는 지반과 라이닝의 변형계수,
은 터널의 반경, vs, vl는 지반과 라이닝의 포아송비, I는 라이닝의 단면이차모멘트, t는 라이닝의 두께이다. 본 연구에서 고려된 실제 터널단면(8000 mm × 4000 mm)을 직경(D)에 대한 축소율(scaling factor) 1/50로 적용시켜 굴착폭 B=160 mm, 높이 H=80 mm, 길이 400 mm의 반원형 터널을 적용하였다. 또한 식 (7)과 같이 유연도비(flexibility ratio)를 지보재인 강지보재, 숏크리트에 적용하여 다음과 같이 산정하였다. 축소된 지보재는 아래 표 1과 같이 지반 탄성계수와 강지보재의 탄성계수를 각각 주문진 표준사와 알루미늄 탄성계수로 산정하였으며, 두께(t)를 고려하여 유연도비를 산정한 결과, 강지보재 및 숏크리트를 각각 알루미늄 봉과 OHP필름으로 산정하였다. 또한 록볼트의 경우 휨강성(EI)을 이용하여 지보재 탄성계수(E)와 단면이차모멘트(I)를 축소율 1/50로 적용하여 아크릴 봉으로 산정하였으며 록볼트의 물성치는 표 2와 같다.
3.2 실험 case
터널 굴착시 강지보재, 숏크리트 및 록볼트의 거동에 대한 영향을 파악하기 위하여 강지보재를 고려하지 않은 숏크리트와 록볼트를 적용한 기존의 지보시스템(Case-1), 강지보재를 고려한 지보시스템(Case-2), 숏크리트 및 록볼트를 강지보재에 체결하여 일체화시킨 신개념 지보시스템(Case-3)에 대하여 실험 case를 선정하였으며 실험 case는 다음 그림 5와 같다. 또한 토피고에 따른 영향을 파악하기 위해 토피고 1D, 2D, 3D로 산정하였다.
3.3 실험방법
모형실험장치에 사용된 모형지반의 크기는 가로 600 mm, 세로 514 mm, 높이 600 mm로 제작하였으며 실험장비의 전경은 그림 6(a)와 같다.
3.1에서 제시한 바와 같이 유연도비(flexibility ratio)를 이용하여 강지보 및 숏크리트를 각각 알루미늄 봉과 OHP필름으로 제작하였으며, 록볼트는 E, I값을 이용하여 축소율(scaling factor) 1/50로 적용하여 아크릴 봉으로 제작하였다. 유연도비를 고려한 축소모형터널의 전경은 그림 6(b)와 같다.
실험 지반의 균질성을 확보하기 위해 낙하고를 일정하게 유지시키는 강사법(raining method)을 사용했으며 시료는 동일한 토질정수를 확보할 수 있도록 주문진 표준사를 사용하였다.
터널굴착은 Trap door장비를 사용하여 입구부에서부터 0.5D (80 mm) 씩 총 5단계로 나누었으며 굴착후 지표침하가 멈추면 다시 굴착하는 방법으로 굴착을 실시하였으며, 실험 중 터널굴착에 의해 발생하는 지표침하를 측정하기 위해 터널 상부에 각각 dial gauge를 설치하였다. 또한 숏크리트의 천단부의 변형율을 측정하기 위해 strain gauge를 설치하였으며 그림 7과 같다. 측정된 값을 다음 식을 이용하여 응력(
)값을 산출하였다.
(12)
여기서 E : 숏크리트 탄성계수, ε: 숏크리트의 변형율,
: 숏크리트 응력
3.4. 실험결과
숏크리트 변위와 지표침하를 측정하기 위하여 그림 7(a)와 같이 각 막장 숏크리트 천단부에 strain gauge를 설치하였으며, 그림 7(b)와 같이 1막장, 3막장, 5막장 상부에 dial gauge를 설치하였다. 계측은 굴진장 0.5D (80 mm)∼2.5D (400 mm)까지 총 5단계로 나누어 그림 8과 같이 굴착을 실시하였으며, 굴착후 숏크리트 천단응력 및 지표침하를 측정하였다.
3.4.1 숏크리트 천단응력 계측 결과
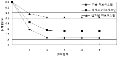
다음 그림은 각 막장 굴착시 숏크리트의 천단응력를 측정한 것으로 굴착 및 안정화 단계를 나타낸 그래프이다.
그림 9와 같이 토피고 1D (160 mm)에서의 천단응력를 비교한 결과 터널 굴착시 1막장에서 천단응력이 가장 크게 나타났다. 기존 지보시스템(숏크리트+록볼트)의 경우 최대응력이 3.55 kPa인데 반해 강지보를 고려한 지보시스템(강지보재+숏크리트+록볼트)의 최대응력은 2.21 kPa로 약 38% 억제하는 것으로 나타났으며, 강지보를 고려한 지보시스템과 신개념 지보시스템을 비교한 결과 최대응력은 1.95 kPa로 약 11% 억제하는 것으로 나타났다.
|
|
|
(a) 기존지보시스템 | (b) 강지보재+기존지보시스템 | (c) 신개념 지보시스템 |
그림 10. 토피고 2D에서의 숏크리트 천단응력 | ||
|
|
|
(a) 기존지보시스템 | (b) 강지보재+기존지보시스템 | (c) 신개념 지보시스템 |
그림 11. 토피고 3D에서의 숏크리트 천단응력 | ||
그림 10과 같이 토피고 2D (320 mm)에서의 천단응력을 비교한 결과 그림 9와 같은 비슷한 경향을 보였으며, 기존 지보시스템일 때 최대응력이 4.43 kPa인데 반해 강지보를 고려한 지보시스템의 최대응력은 2.41 kPa로 약 45% 억제하는 것으로 나타났으며, 강지보를 고려한 기존 지보시스템과 신개념 지보시스템을 비교한 결과 최대응력은 2.2 kPa로 약 9% 억제하는 것으로 나타났다.
그림 11과 같이 토피고 3D (480 mm)에서의 천단응력을 비교한 결과 그림 9와 같이 비슷한 경향을 보였으며, 토피고가 상승함에 따라 숏크리트 응력도 증가하는 경향을 나타났다. 기존 지보시스템일 때 최대응력이 6.45 kPa인데 반해 강지보를 고려한 지보시스템의 최대응력은 3.57 kPa로 약 45% 억제하는 것으로 나타났으며, 강지보재를 고려한 지보시스템과 신개념 지보시스템울 비교한 결과 최대응력은 3.15 kPa로 약 12% 억제하는 것으로 나타났다. 또한 숏크리트 천단부 응력과 어깨부 응력을 비교해본 결과 비슷한 경향이 나타났다.
3.4.2 지표침하 계측 결과
다음은 침하량과 최종침하량을 나타낸 그래프로서 굴착 단계에 따라 각 상부에서의 침하량을 측정한 것이다.
|
|
(a) 1막장 상부 | (b) 3막장 상부 |
|
|
(c) 5막장 상부 | (d) 최종침하량 |
그림 12. 지보시스템에 따른 지표침하량(토피고 : 1 D) | |
|
|
(a) 1막장 상부 | (b) 3막장 상부 |
|
|
(c) 5막장 상부 | (d) 최종침하량 |
그림 13. 지보시스템에 따른 지표침하량(토피고 : 2 D) | |
그림 12와 같이 터널 굴착시 1막장에서 지표침하가 가장 크게 나타났으며, 토피고 1D에서 강지보를 고려한 기존 지보시스템 보다 신개념 지보시스템을 적용하였을 때 침하량이 감소하는 경향이 나타났다. 지보시스템에 따른 신개념 지보시스템의 지표침하량을 비교한 결과 1막장 상부 지반의 경우 약 18%∼46% 감소, 3막장 상부 지반의 경우 약 26%∼42% 감소, 5막장 상부 지반의 경우 약 24%∼47% 감소하는 것으로 나타났다.
그림 13과 같이 지보시스템에 따른 신개념 지보시스템의 지표침하량을 비교한 결과 그림 12와 같이 비슷한 경향이 나타났으며, 막장 굴착시 1막장 상부 지반의 경우 약 20%∼22% 감소, 3막장 상부 지반의 경우 약 26%∼42% 감소, 5막장 상부 지반의 경우 약 19%∼50% 감소하는 것으로 나타났다.
그림 14와 같이 지보시스템에 따른 신개념 지보시스템의 지표침하량을 비교한 결과 그림 12와 같이 비슷한 경향이 나타났으며, 막장 굴착시 1막장 상부 지반의 경우 약 12%∼22% 감소, 3막장 상부 지반의 경우 약 20%∼27% 감소, 5막장 상부 지반의 경우 약 20%∼44% 감소하는 것으로 나타났다. 이 결과 토피고가 상승함에 따라 지표 침하량은 증가하는 것으로 나타났으며, 터널 굴착시 1막장 상부에서 최대 침하량이 나타났다.
4. 수치해석
본 연구에서는 축소모형실험결과에서 나타난 지보시스템에 따른 지반 거동을 검증하기 위해서 유한요소해석 프로그램인 Visual FEA를 이용하여 수치해석을 실시하였다.
4.1 해석과정 및 방법
동일지반 조건하에서 기존 지보시스템인 Case 1(숏크리트+락볼트)과 강지보를 고려한 지보시스템인 Case 2(숏크리트+락볼트+강지보), 강지보재에 락볼트를 체결하여 일체화시킨 신개념 지보시스템 Case 3(숏크리트+락볼트+강지보)을 적용한 터널에 대하여 3차원 유한요소해석을 실시하였다. 지반의 초기응력상태는 동일한 지반조건하에서 지보시스템에 따른 거동특성을 비교 분석하기 위하여 토압계수
=0.5을 동일하게 적용하였으며 수치해석 결과를 통하여 각각의 지보시스템별 터널의 천단응력 및 침하량를 비교 분석하였다. 유한요소해석에 사용된 지보재의 제원과 지반물성치는 표 3와 같이 가정하여 모델링을 실시하였다.
표 3. 지보재 제원 및 지반물성치 | |||||||
구분 | 지반등급 | 숏크리트 | 락볼트 | 강지보 | |||
(토사) | 비고 | 연성 | 강성 | 비고 | |||
변형계수(kPa) | 30000 | 전단면 굴착 | 5.0×106 | 1.5×107 | 두께 : 20 cm 굴진장 : 4 m | 2.1×108 | 2.1×108 |
포아송비 | 0.286 | 0.20 | 0.20 | - | - | ||
내부마찰각 | 35 | - | - | - | - | ||
점착력(kPa) | 50 | - | - | - | - | ||
단위중량(kN/m3) | 19.5 | 25 | 25 | 75.0 | 75.0 | ||
4.2 해석결과
수치해석결과에 대하여 실내실험과 동일한 위치에서 천단응력과 지표침하를 측정하였으며 해석결과는 그림 15와 같다.
그림 16(a)는 터널의 지보시스템과 토피고에 따른 최대천단응력을 나타낸 그래프로 토피고가 상승함에 따라 천단응력이 증가하는 것으로 나타났다. 터널 굴착 시 기존시스템을 적용하였을 때 보다 강지보를 고려한 지보시스템을 적용하였을 때 최대천단응력은 약 8%∼11% 감소하였으며 강지보를 고려한 지보시스템 보다 신개념 지보시스템을 적용하였을 때 최대천단응력은 약 19%∼27% 감소하는 것으로 나타났다. (b)는 터널의 지보시스템과 토피고에 따른 최대침하량을 나타낸 그래프로 토피고가 상승함에 따라 침하량이 증가하였다. 또한 터널 굴착시 기존시스템을 적용하였을 때 보다 강지보를 고려한 지보시스템을 적용하였을 때 최대침하량은 약 24%∼37% 감소하였으며 강지보를 고려한 지보시스템 보다 신개념 지보시스템을 적용하였을 때 최대침하량이 약 14%∼28% 감소하는 것으로 나타났다. 축소모형 실험 및 수치해석 결과 다른 지보시스템보다 신개념 지보시스템이 우수한 것으로 판단된다.
5. 결 론
본 연구에서는 터널 굴착시 적용되는 기존의 지보시스템, 강지보를 고려한 지보시스템, 강지보에 록볼트를 일체화시킨 새로운 개념의 지보시스템을 비교 분석하기 위해 축소모형실험을 실시하였다. 또한 수치해석을 실시하여 실험값과 비교 분석하였으며 그 결과 얻은 결론은 다음과 같다.
1.토피고에 따른 숏크리트응력과 지표침하를 비교한 결과 토피고가 상승함에 따라 응력과 침하량이 증가하는 경향이 나타났으며, 1막장 굴착시 가장 크게 나타났다. 실험결과 강지보재를 고려한 지보시스템 보다 신개념 지보시스템을 적용하였을 때 숏크리트변위는 약 9∼12% 감소효과가 있는 것으로 나타났으며 지표침하의 경우 약 12∼47% 감소효과가 있는 것으로 나타났다.
2.수치해석 결과 토피고가 상승함에 따라 숏크리트 천단응력 및 지표침하량 모두 증가하는 것으로 나타났다. 토피고에 따른 숏크리트의 천단응력는 신개념 지보시스템을 적용하였을 때 최대천단응력은 약 24∼37% 감소하는 것으로 나타났으며, 또한 토피고에 따른 최대침하량은 약 14%∼28% 감소효과가 있는 것으로 나타났다.
3.지보재 특성곡선을 비교해본 결과 강지보를 고려한 지보시스템의 경우 강지보의 항복변위는 숏크리트와 비슷하며 강성은 작아 지보재로서 역할을 못하는 것으로 판단되나, 강지보와 록볼트를 일체화 시킨 신개념지보시스템의 경우 항복변위 및 강성이 증가하여 지보재로서 역할을 하는 것으로 판단된다.
본 연구를 살펴본 바와 같이 사질토 지반에서 터널 굴착시 기존의 지보시스템인 숏크리트와 록볼트만 주지보재로 사용하는 것 보다는 신개념 지보시스템인 숏크리트와 강지보재에 록볼트를 일체화하여 함께 사용할 경우 안정성이 증가될 것으로 판단된다. 추후 실제 터널에 대한 시공 및 계측이 이루어진다면 보다 실용적인 연구 성과를 얻을 수 있을 것이라 판단된다.








, kN/m2)
, kN/m2)
)
)
, kN/m2)






























